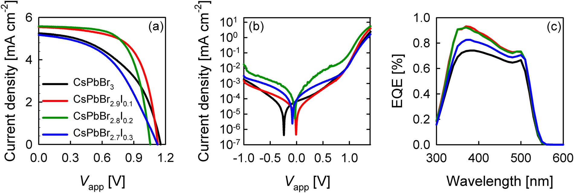
Figure 3

(a) J-V measurements under simulated AM1.5G sun light of 100 mW cm−2 irradiance, and (b) under dark. (c) Represents the EQE for glass/FTO/c-TiO2/mp-TiO2/CsPbBr3-xI x /spiro-OMeTAD/Au solar cells, where x varies in 0, 0.1, 0.2, and 0.3 molar ratio.