Figure 2
From: Human Skeletal Muscle Possesses an Epigenetic Memory of Hypertrophy

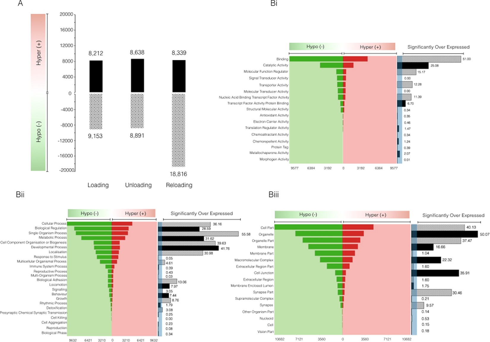
(A) Infinium MethylationEPIC BeadChip arrays (850 K CpG sites) identified an enhanced frequency of hypomethylated CpG sites upon reloading (n = 7). (B) Gene ontology analysis using forest plot schematics confirmed an enhanced hypomethylated profile after reloading across various (i) molecular function, (ii) biological processes and (iii) cellular components. Functional groups with a fold enrichment >3 (as indicated via shaded blue region) represents statistically ‘over expressed’ (in this case epigenetically modified) KEGG pathways FDR < 0.05 (n = 8).