Figure 6

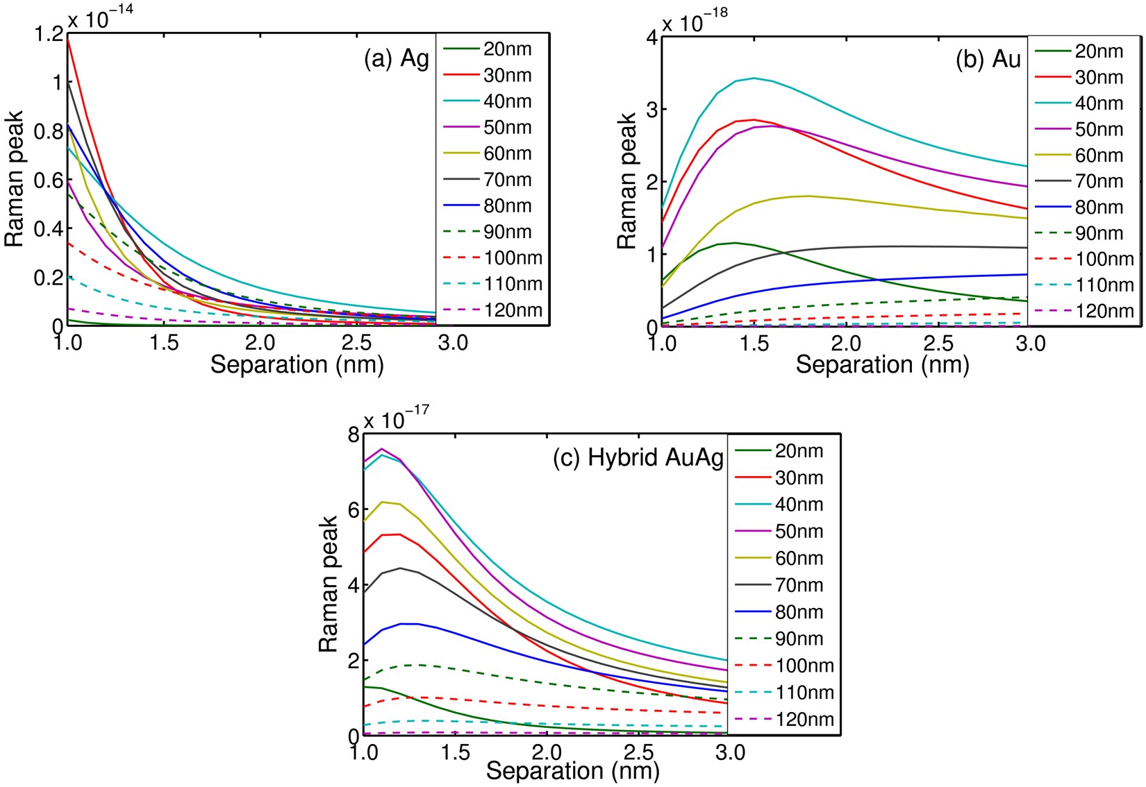
The Raman characteristic peaks of R6G molecule as a function of radius and separation at 2.29 eV (a) for AgNPs with radius from 20 nm to 120 nm, (b) for AuNPs, (c) for hybrid AuAgNPs

The Raman characteristic peaks of R6G molecule as a function of radius and separation at 2.29 eV (a) for AgNPs with radius from 20 nm to 120 nm, (b) for AuNPs, (c) for hybrid AuAgNPs