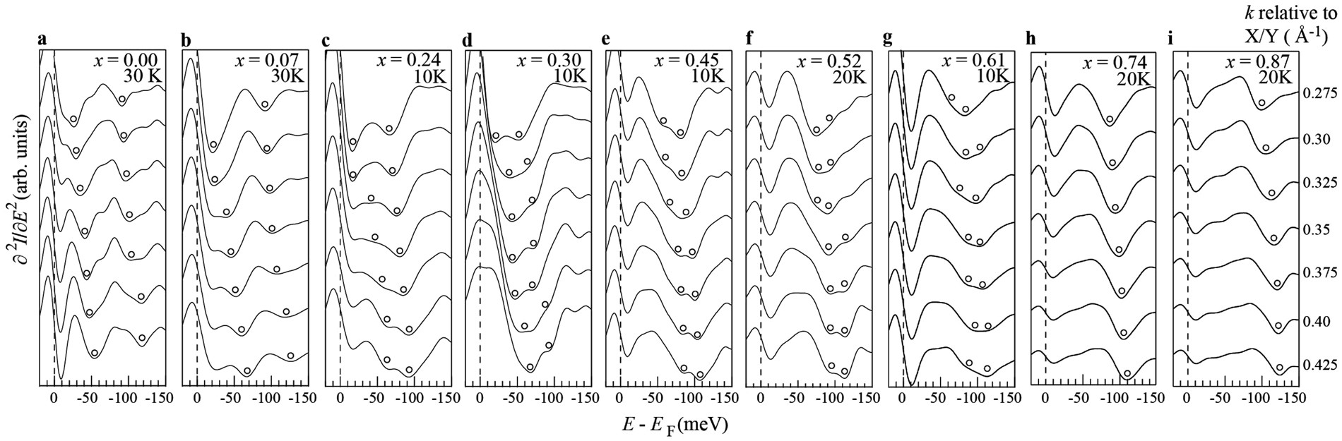
Figure 2

(a–i) x dependence of second E derivative EDCs in an interval of 0.025 Å−1 near X/Y point at 30 K for x = 0.00 and 0.07, 20 K for x = 0.52, 0.74 and 0.87, 10 K for x = 0.24, 0.30, 0.45 and 0.61, respectively. Black open circles represent dip positions in the spectra corresponding to the energy position of the δ hole bands.