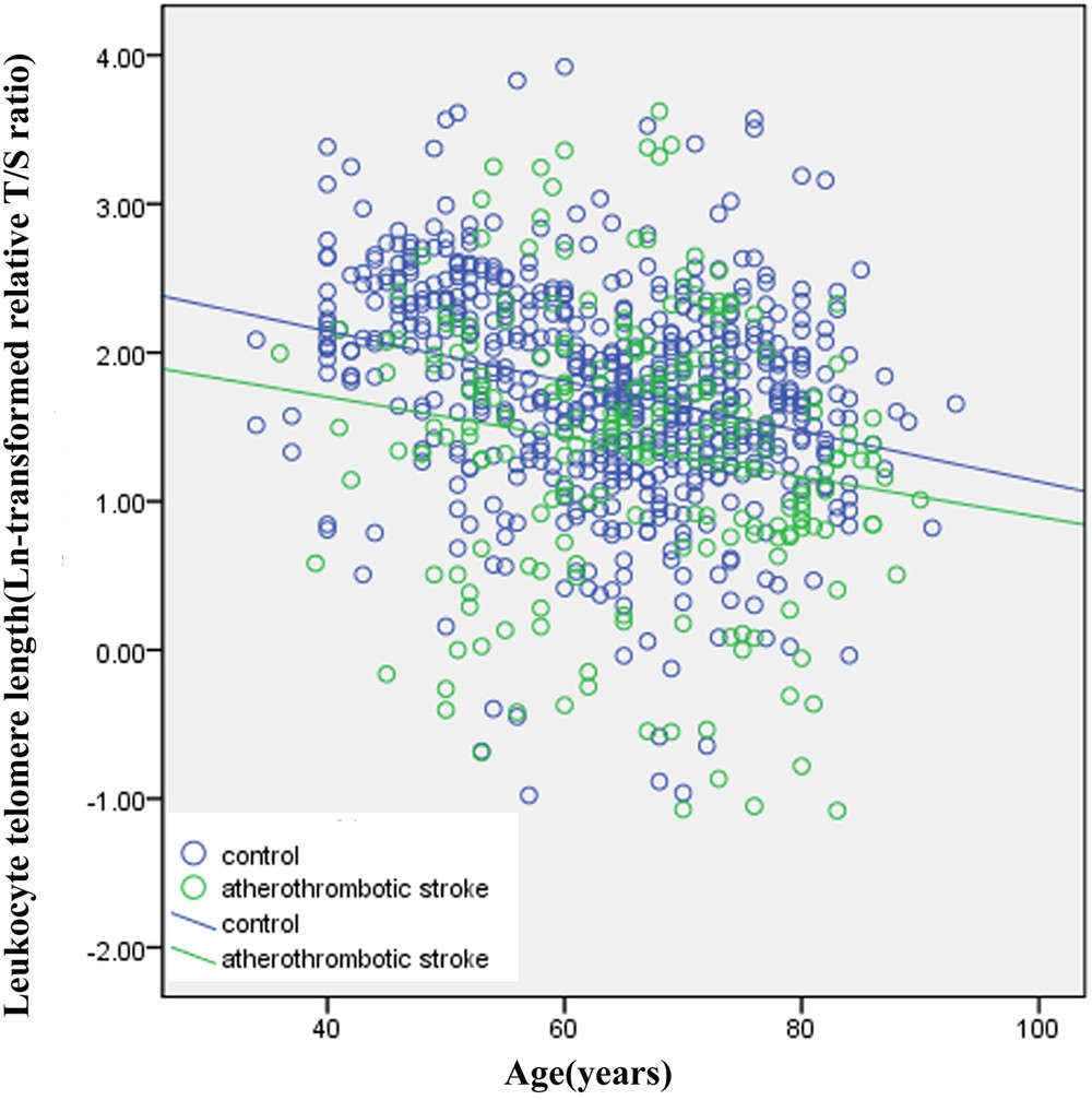
Figure 1

Telomere length as a function of age in control subjects and patients with atherothrombotic stroke Controls are shown as blue circles (n = 616) and atherothrombotic stroke cases as green circles (n = 224). Telomere length is expressed as the natural log (Ln) of relative telomere to single-copy gene (T/S) ratio. Slope of the line indicates the annual telomere-shortening rate in control subjects (coefficient correlation γ = −0.28, P < 0.001; blue line) and cases with atherothrombotic stroke (γ = −0.17, P = 0.012; green line), respectively.