Figure 2
From: Tunable phonon blockade in quadratically coupled optomechanical systems

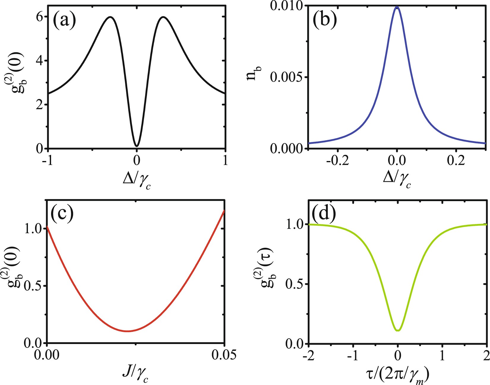
(a) \({g}_{b}^{(2)}(0)\) is plotted as a function of the detuning Δ/γ c with the effective coupling strength J = 0.025γ c ; (b) mean phonon number n b is plotted as a function of Δ/γ c with J = 0.025γ c ; (c) \({g}_{b}^{(2)}(0)\) is plotted as a function of J/γ c with Δ = 0; (d) \({g}_{b}^{(2)}(\tau )\) is plotted as a function of the normalized time delay τ/(2π/γ m ) with Δ = 0 and J = 0.025γ c . The other parameters are ε m  = 0.005γ c , ε p  = 0.01γ c , θ = π, γ m  = γ c /10, and nth = 10−4.