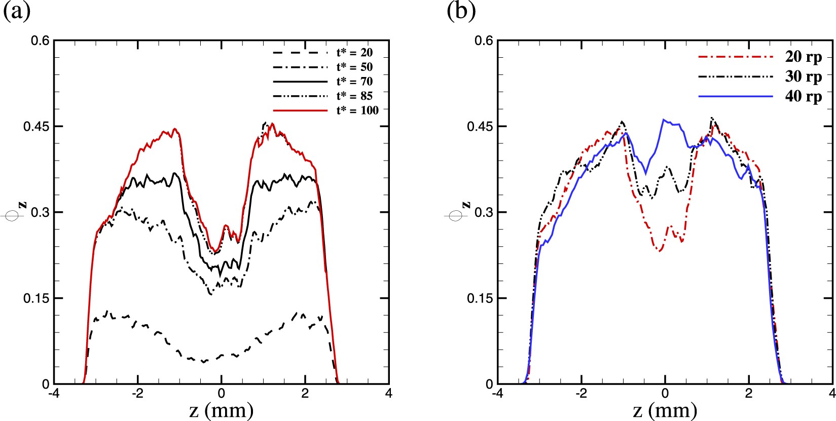
Figure 3
From: Data-driven Modeling of Hemodynamics and its Role on Thrombus Size and Shape in Aortic Dissections

Average volume fraction of the clot Ï• z computed in each cross section along the flow direction in the medium false lumen. (a) Temporal simulations suggest that clot volume fraction stabilizes after 10 cycles. (b) Simulations for different values of particle radius r eff suggest that smaller particle radius is more effective in capturing thrombus size and shape.