Figure 4
From: The dramatic enhancement of ferromagnetism and band gap in Fe-doped In2O3 nanodot arrays

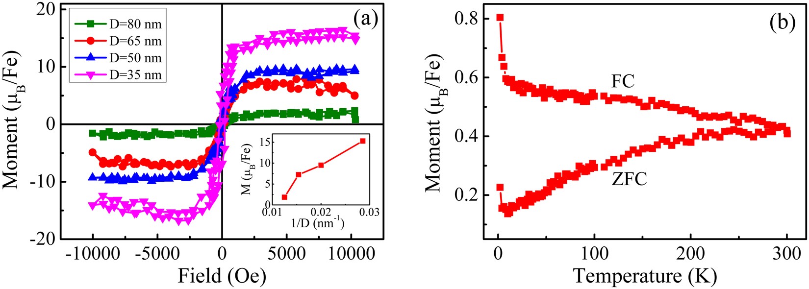
(a) Hysteresis loops measured at 300 K for (In0.95Fe0.05)2O3 nanodot arrays with different D. The inset shows the variation of Ms values with 1/D. (b) The FC/ZFC curves for the nanodot array with D of 50 nm measured at a field of 100 Oe.