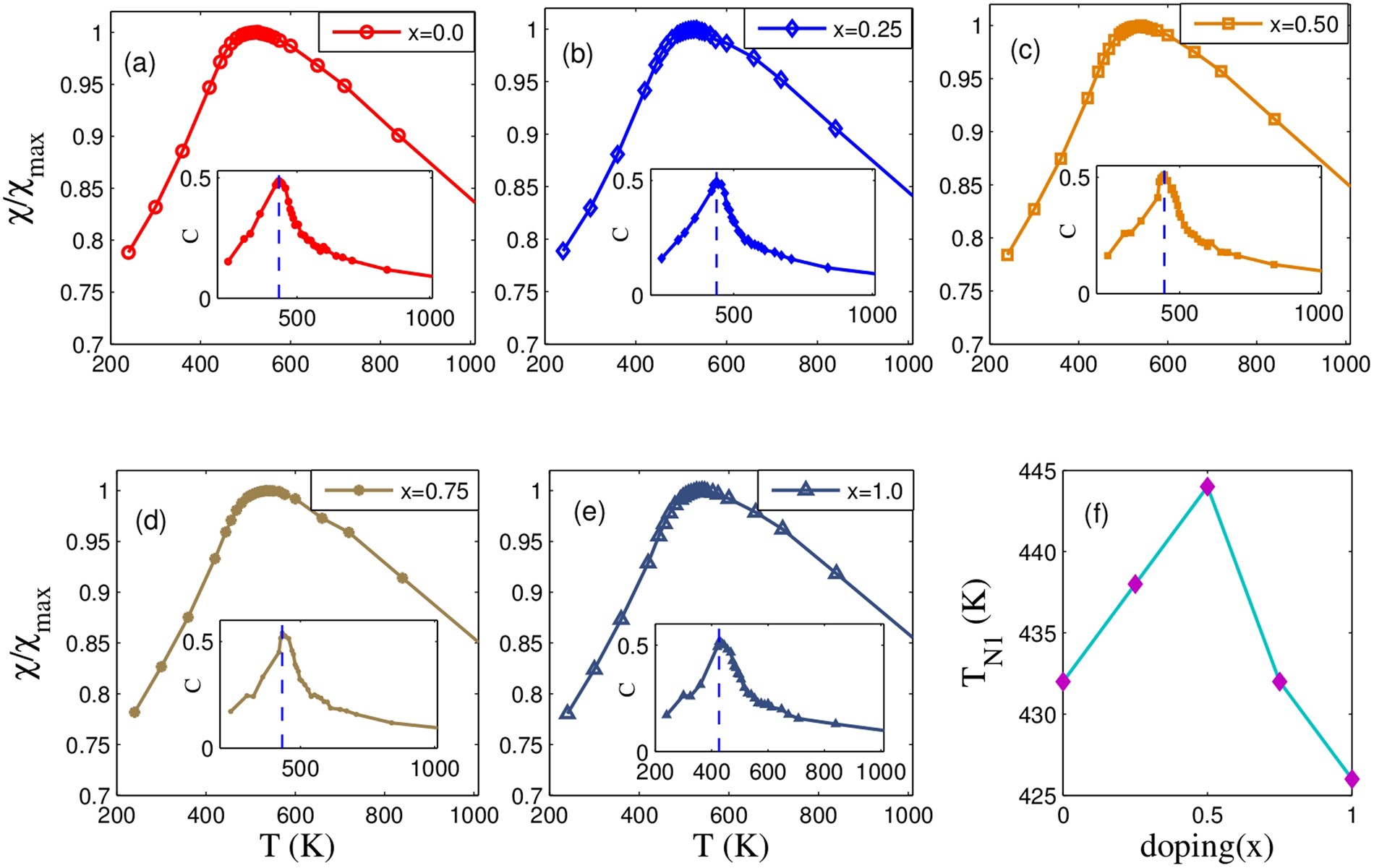
Figure 6

Magnetic susceptibility as a function of temperature at Sr doping (a) x = 0.00, (b) x = 0.25, (c) x = 0.50 (d) x = 0.75 (e) x = 1.00. Variation in the specific heat with temperature is shown in the inset, (f) Variation of TN1 (from the peak of the specific heat, dashed vertical line in (a–e) insets) with x.