Figure 6
From: Differentially expressed host long intergenic noncoding RNA and mRNA in HIV-1 and HIV-2 infection

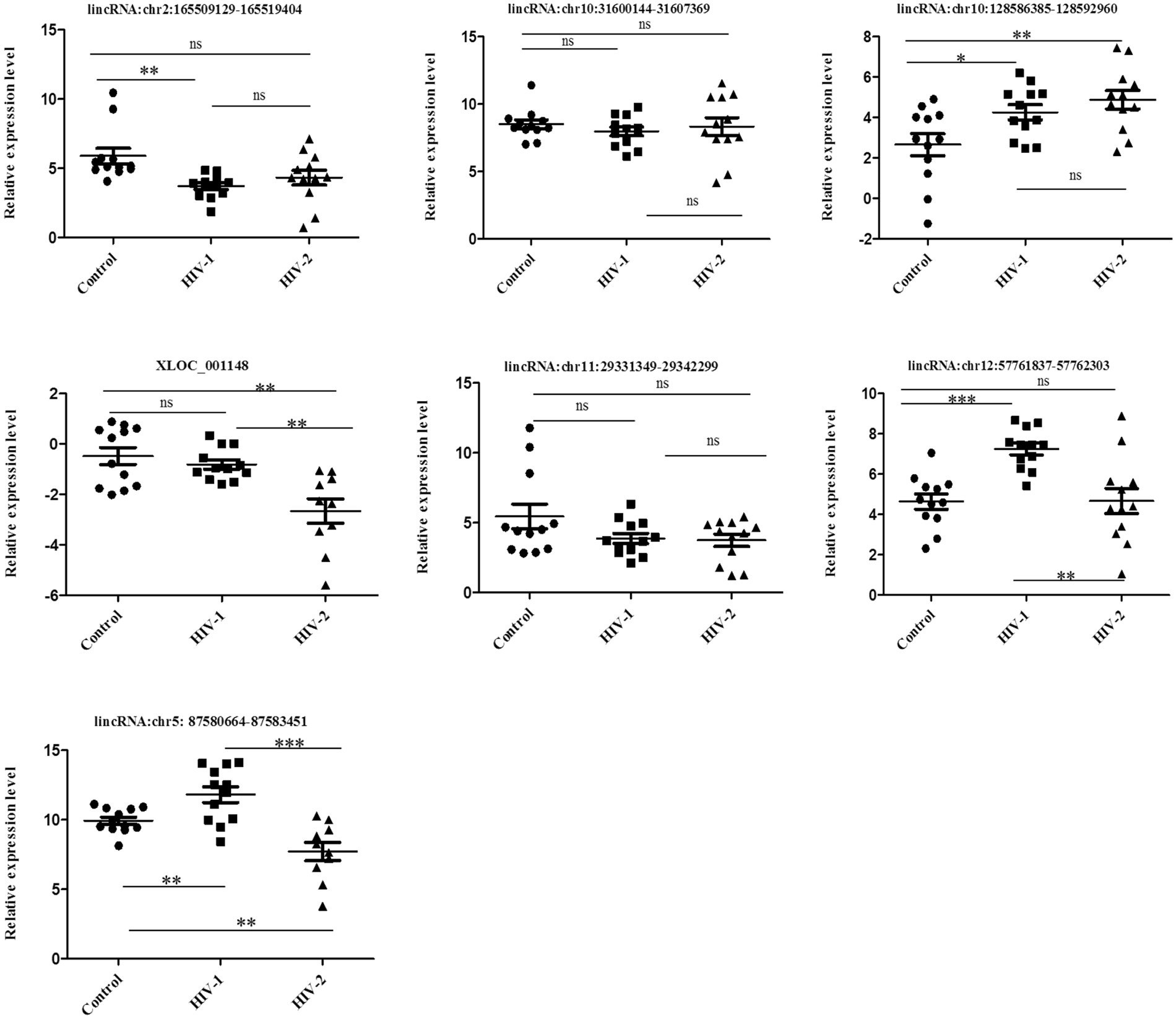
The expression levels of lincRNAs in plasma samples from HIV-1 infected patients, HIV-2 infected patients and healthy controls. Results are expressed as relative expression and the expression was calculated as follows: ΔCt target lincRNA in infected sample = Ct target lincRNA in infected sample - Ct GAPDH in infected sample; ΔCt target lincRNAs in normal = Ct target lincRNA in normal − Ct GAPDH in normal.