Figure 7
From: Differentially expressed host long intergenic noncoding RNA and mRNA in HIV-1 and HIV-2 infection

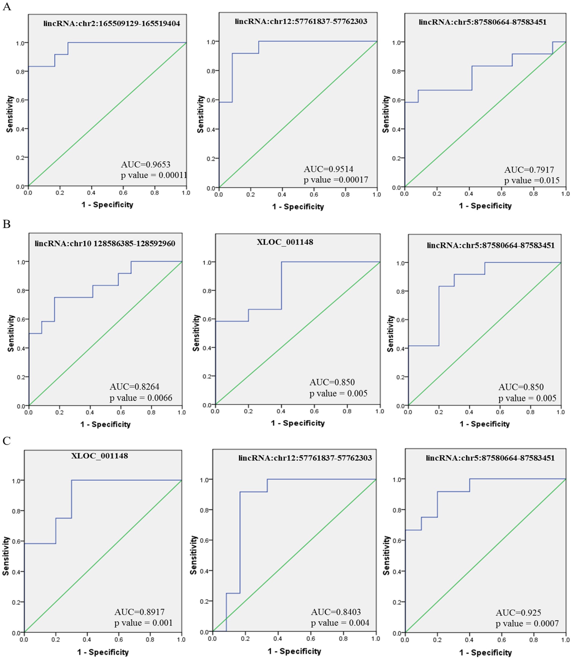
The ROC curve of lincRNAs to evaluate the diagnostic power. (A) HIV-1 infected patients vs healthy controls; (B) HIV-2 infected patients vs healthy controls; (C) HIV-2 vs HIV-1infected patients.