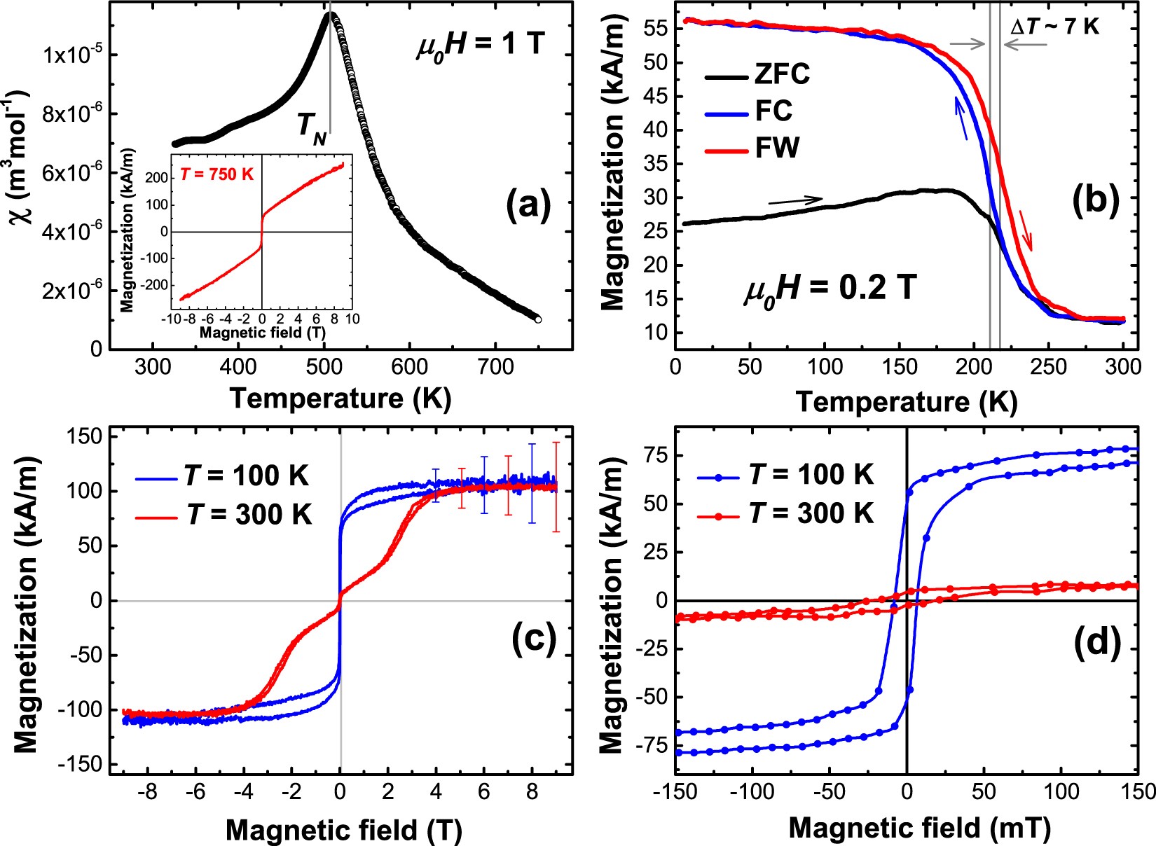
Figure 4

(a) Temperature dependence of the static magnetic susceptibility measured at 1 T field applied parallel to the Mn2GaC film plane. The inset shows the field dependence of the magnetization at 750 K. (b) Zero-field-cooled (ZFC, black), field-cooled (FC, blue) and field-warmed (FW, red) magnetization curves at magnetic field of 0.2 T applied parallel to the film surface. Arrows with corresponding color represent the sweeping direction. (c) Magnetization curves for Mn2GaC at 100 K (below the first order magnetic phase transition temperature T t = 214 K, blue) and 300 K (above T t , red). The error bars show the uncertainty of the slope subtraction arising from the large diamagnetic contribution of the MgO(111) substrate. (d) The low magnetic field part of the magnetization from hysteresis loops shown in (c). The magnetic signals of the MgO(111) substrate were subtracted in all presented curves.