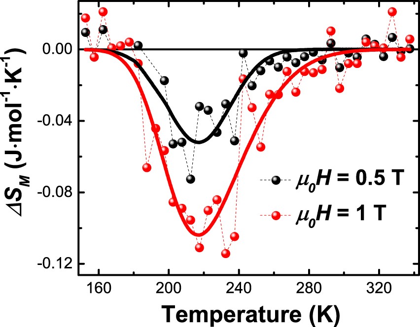
Figure 7

Magnetic entropy change ∆S M of Mn2GaC film for the field changes of 0–0.5 T (black) and 0–1 T (red) calculated from magnetization isotherms. Solid lines are served as a guide to the eye.

Magnetic entropy change ∆S M of Mn2GaC film for the field changes of 0–0.5 T (black) and 0–1 T (red) calculated from magnetization isotherms. Solid lines are served as a guide to the eye.