Figure 2

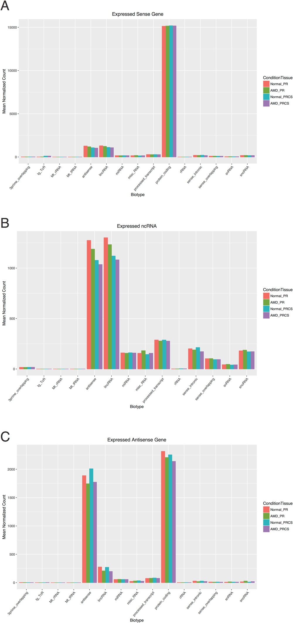
Distribution of biotypes of expressed transcripts in each category of biotypes is plotted by condition and tissue type. (A) All expressed sense transcripts. (B) Expressed ncRNA. (C) Expressed anti-sense transcripts.

Distribution of biotypes of expressed transcripts in each category of biotypes is plotted by condition and tissue type. (A) All expressed sense transcripts. (B) Expressed ncRNA. (C) Expressed anti-sense transcripts.