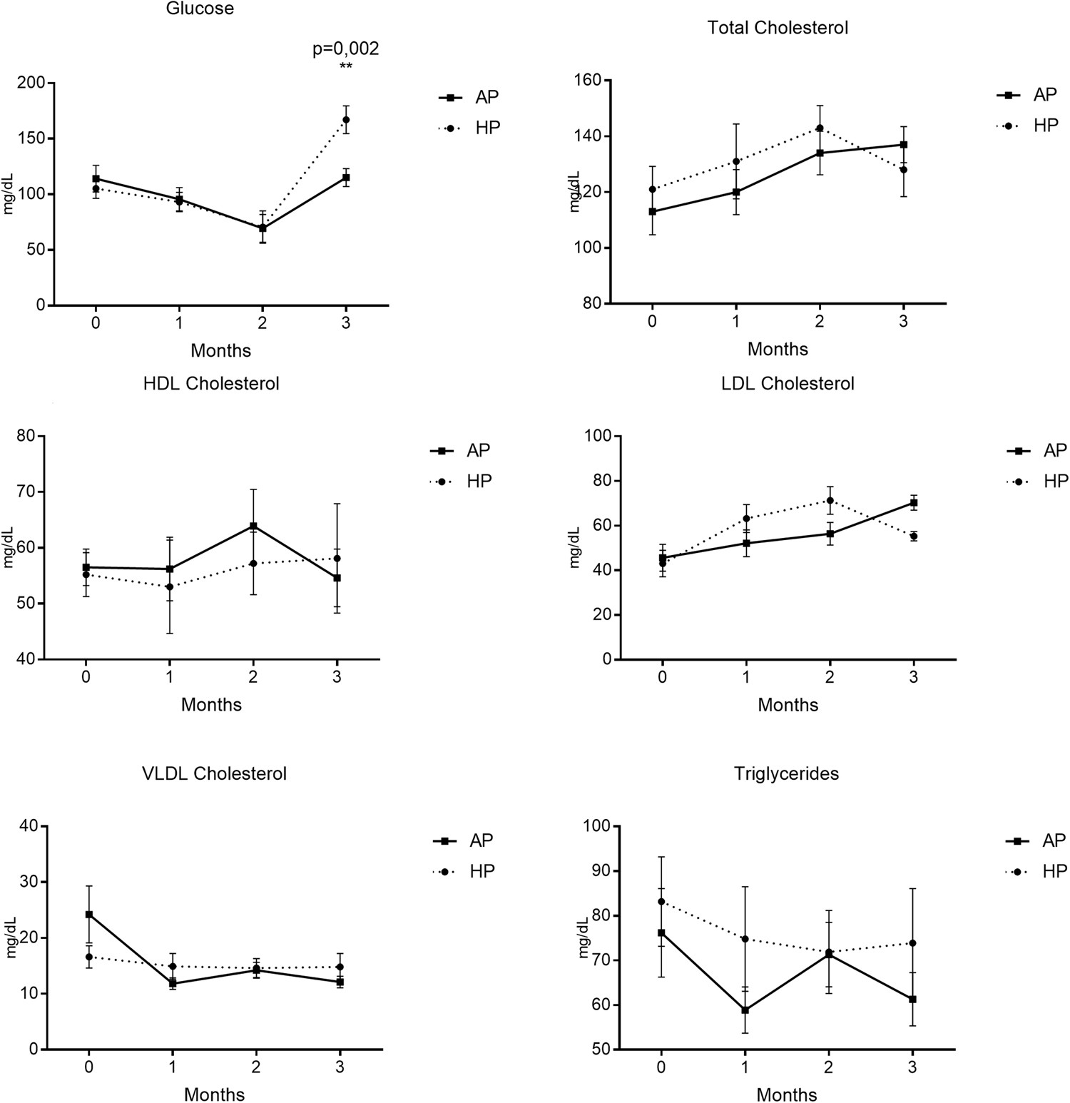
Figure 2
From: Dietary supplementation with hybrid palm oil alters liver function in the common Marmoset

Biochemical parameters analyzed during the nutritional intervention (n = 10 animals per group). AP: African Palm Group; HP: Hybrid Palm Group. Glucose, Total cholesterol, HDL cholesterol, LDL cholesterol, VLDL cholesterol, and triglycerides were determined with standard colorimetric methods. Values expressed as mean ± SEM. **Indicates a statistical difference at p < 0.02.