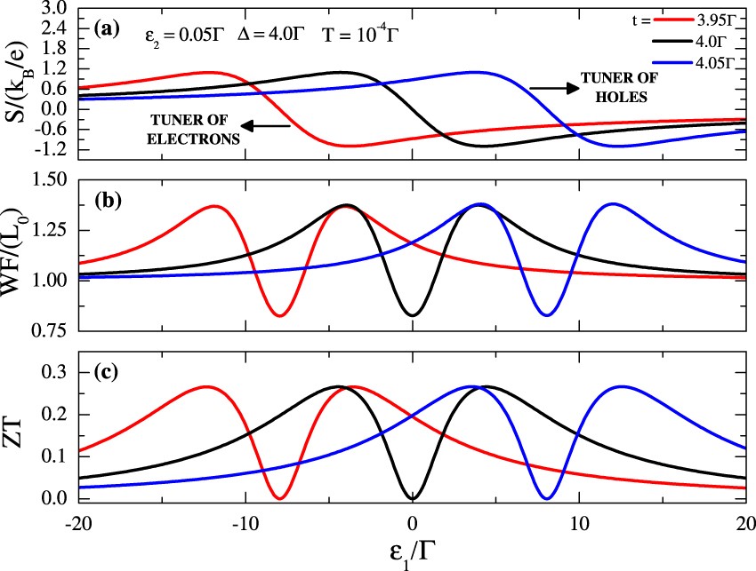
Figure 5
From: Tuning of heat and charge transport by Majorana fermions

(a) Thermopower (S), (b) Wiedemann-Franz law (WF) and (c) the figure of merit (ZT) as function of the QD energy level ε1 for several ε2 values of the couplings between MFs. Deviation from the condition t = Δ leads to the shift of the curves.