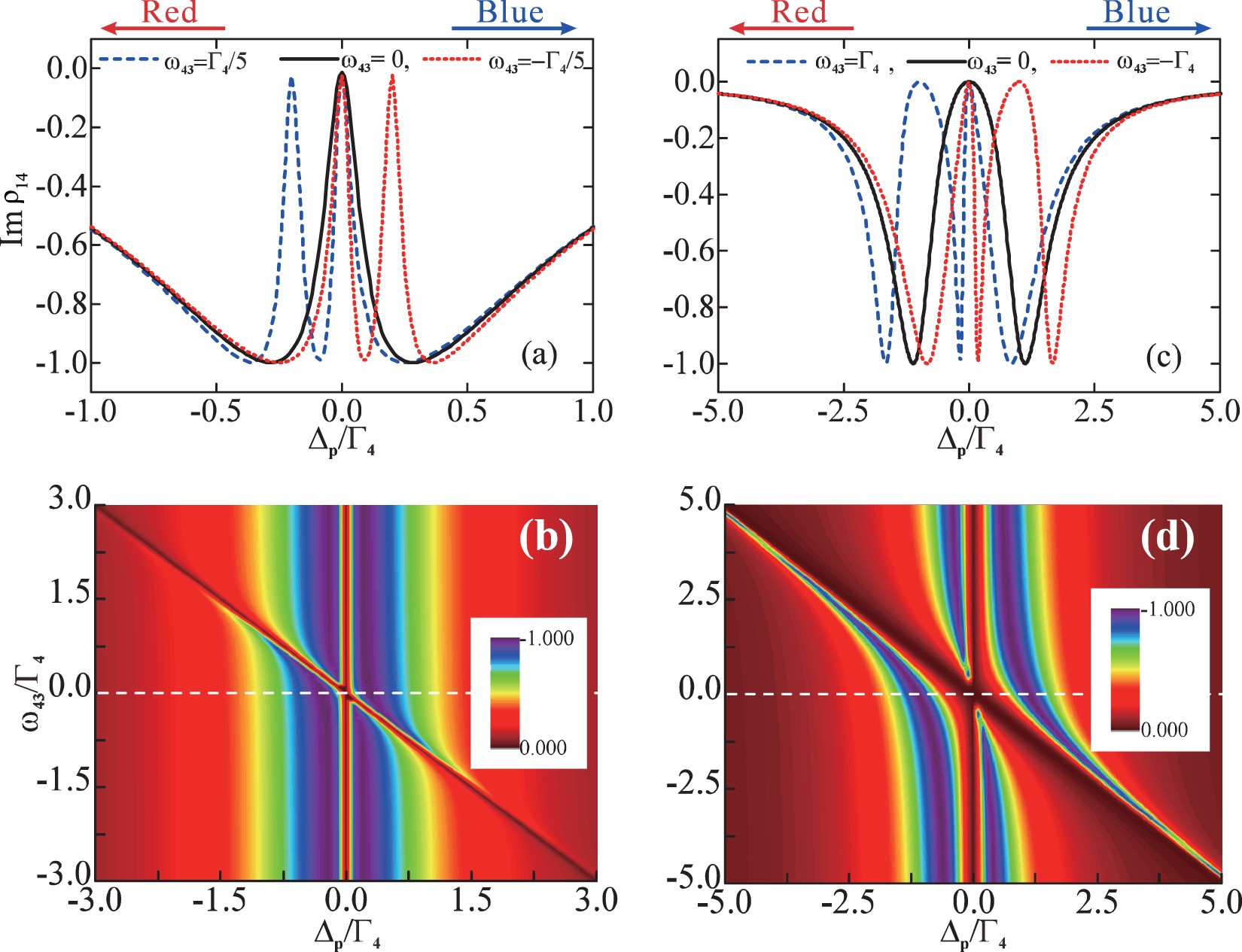
Figure 4

Double Tunneling-induced transparency and Autler-Townes triplet. (a,b) Im(ρ14) as a function of the probe-field detuning Δ p at different values of the frequency difference ω43, where Te1 = Te2 = Γ4/5; (c,d) Im(ρ14) as a function of both the probe-field detuning Δ p and the frequency difference ω43, where Te2 = 2Te1 = Γ4 = 10 μeV. Here ω42 = 0 and Γ2 = Γ3 = 10−3 Γ4.