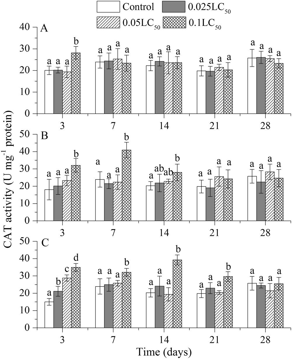
Figure 2

Effects of tribenuron-methyl (A), tebuconazole (B), and mixture of both pesticides (C) on catalase (CAT) activity in E. fetida. Each column represents the mean of three replicates, and the error bars represent the standard deviations (SD). Different letters above bars are significantly different at the confidence level of 0.05 between treatments at the same time.