Figure 2

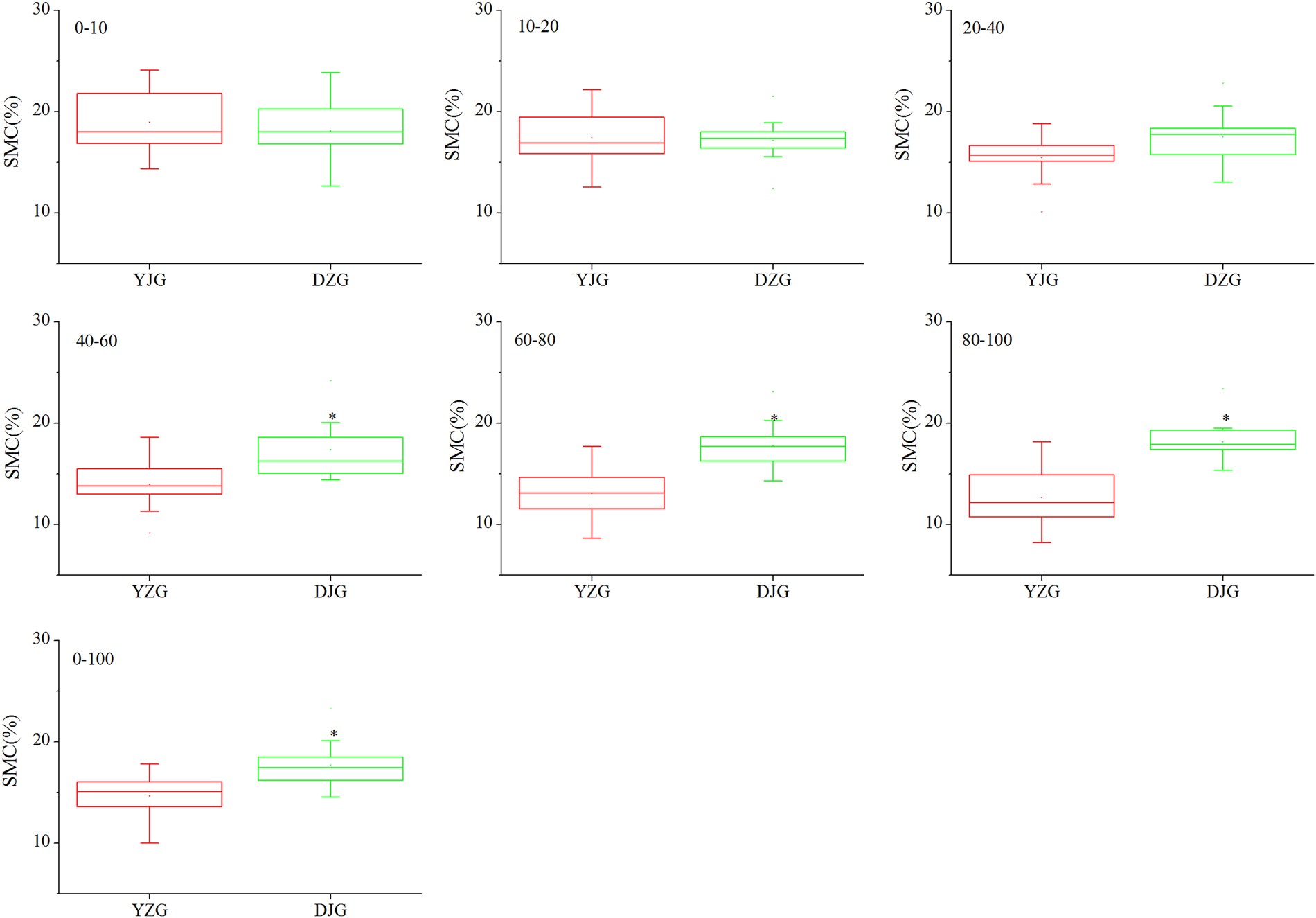
Mean annual soil moisture content at different depths in Yangjiagou (forest land) and Dongzhuanggou (grassland) watersheds. Mean values for 12 years for the forest land and for 11 years for the grassland.

Mean annual soil moisture content at different depths in Yangjiagou (forest land) and Dongzhuanggou (grassland) watersheds. Mean values for 12 years for the forest land and for 11 years for the grassland.