Figure 7
From: Phase-tuning Metasurface for Circularly Polarized Broadside Radiation in Broadband

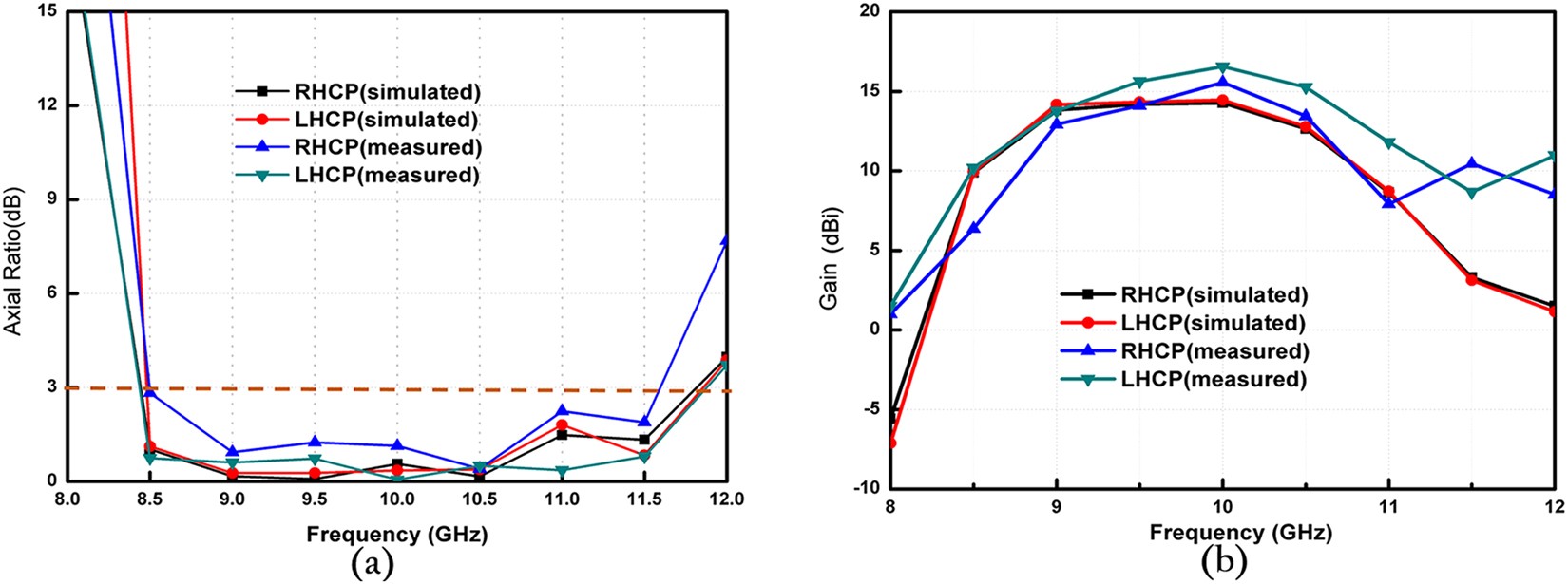
Simulated and measured (a) axial ratios and (b) gains of the LHCP and RHCP MAs.
From: Phase-tuning Metasurface for Circularly Polarized Broadside Radiation in Broadband

Simulated and measured (a) axial ratios and (b) gains of the LHCP and RHCP MAs.