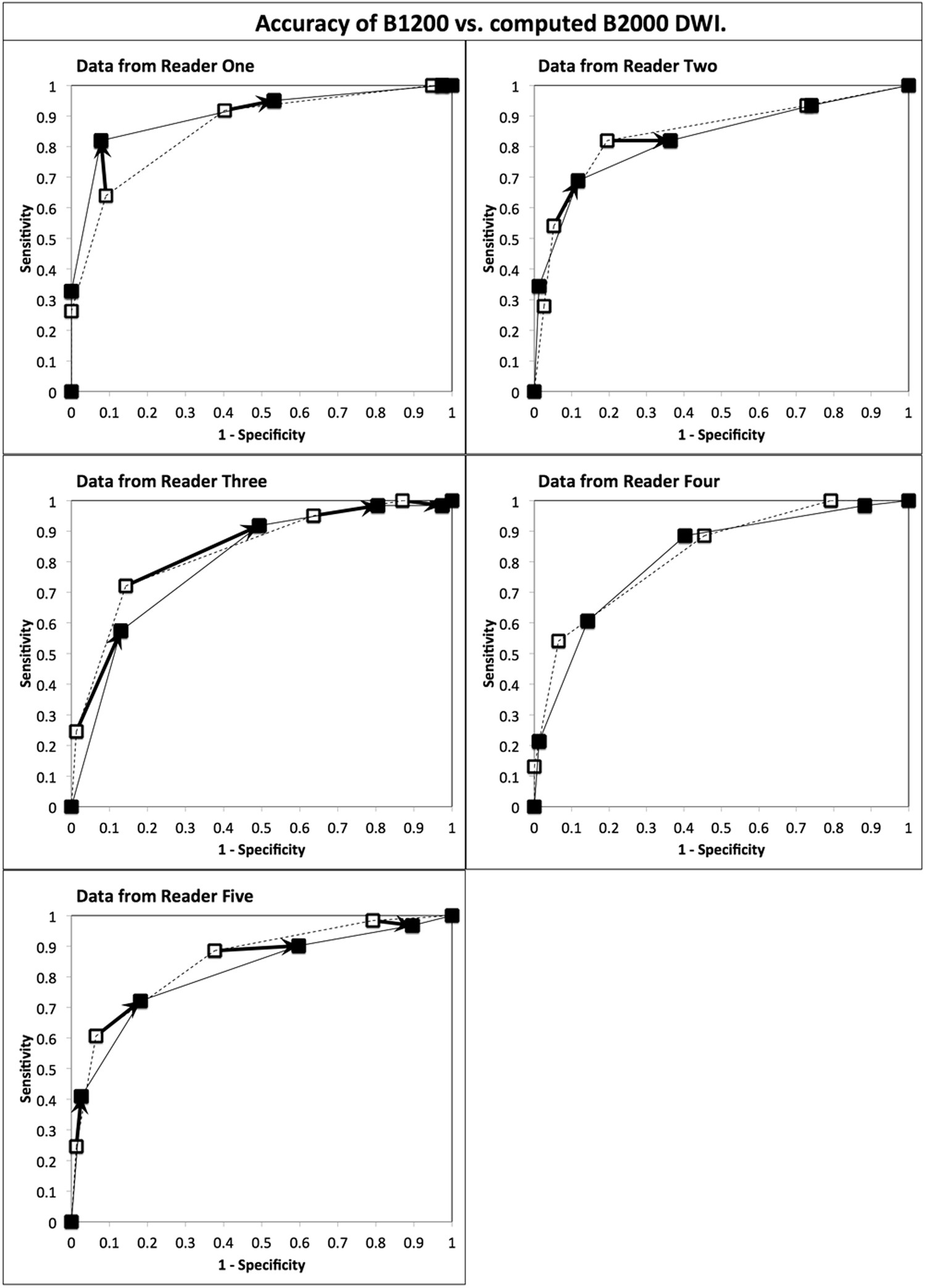
Figure 2

Receiver operating characteristic curve analysis comparing the diagnostic accuracy of direct B1200 diffusion-weighted prostate MR images with computed B2000 images in five readers. Open squares with dashed lines are from direct B1200 data. Solid squares with solid lines are from computed B2000 images. Arrows connect corresponding B1200 and cB2000 operating points when there is a difference in sensitivity and/or specificity that is significant by two-tailed McNemar’s test for comparisons of paired proportions, at a level of p < 0.05. Overall 12 operating points demonstrated different sensitivity and or specificity in 4 of 5 readers. In reader 4 there were no significant differences between corresponding pairs of operating points at B1200 and computed B2000. The ROC curve areas and overall ROC curve shapes remained the same for all readers, indicating that despite changes in sensitivity and specificity for some readers at some thresholds of interpretation, overall computed B2000 images do not increase intrinsic diagnostic accuracy compared to direct B1200 images.