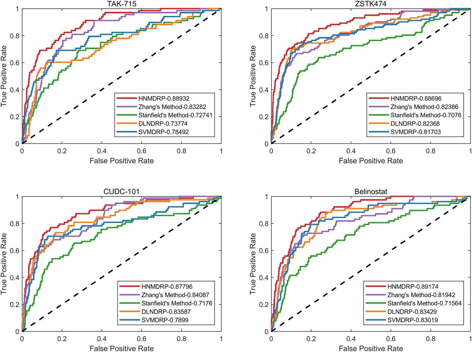
Figure 2
From: A novel heterogeneous network-based method for drug response prediction in cancer cell lines

The ROC curve of drugs. Performance comparison of ROC curve among HNMDRP, Zhang’s method, Stanfield’s method, DLNDRP and SVMDRP method based on LOOCV.