Figure 1

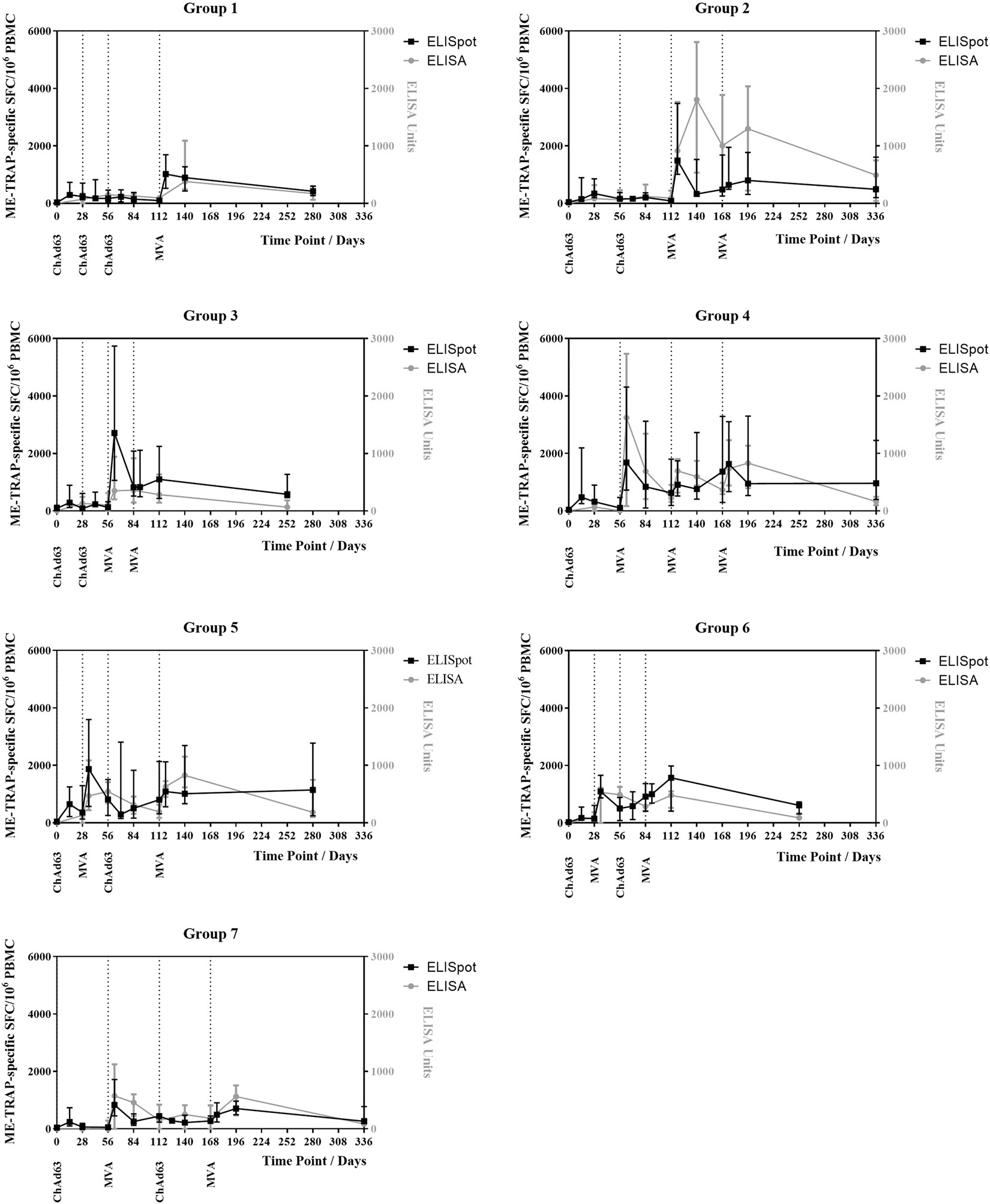
T cell and antibody response kinetics. (A–G) Time course of ME-TRAP T cell response by ex vivo IFN-γ ELISpot and TRAP antibody response by ELISA, in groups 1–7 respectively. Median with interquartile range displayed.

T cell and antibody response kinetics. (A–G) Time course of ME-TRAP T cell response by ex vivo IFN-γ ELISpot and TRAP antibody response by ELISA, in groups 1–7 respectively. Median with interquartile range displayed.