Figure 4
From: Human antibody responses against non-covalently cell wall-bound Staphylococcus aureus proteins

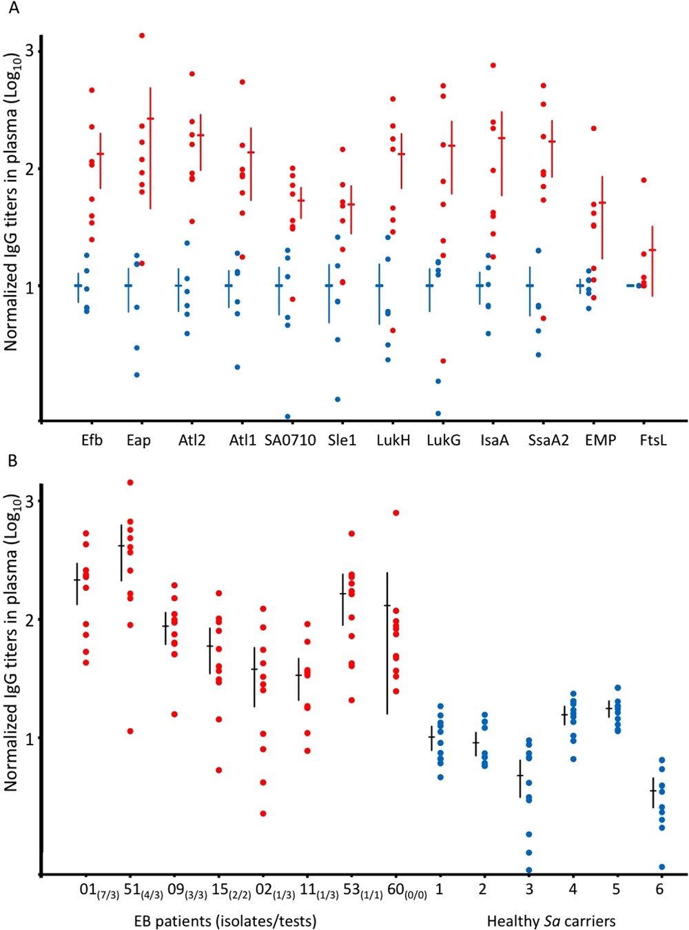
Binding of human IgGs to purified non-covalently cell wall-bound S. aureus proteins. Levels of IgGs specific for purified cell wall-bound S. aureus proteins were compared by ELISA using plasma samples of patients with EB (red bullets) or healthy S. aureus carriers (blue bullets). (A) Normalized IgG titers in different plasma samples plotted per purified S. aureus antigen. (B) Normalized IgG titers in different plasma samples plotted per EB patient and healthy carrier. In brief, obtained EB and control averages were multiplied by a numeric factor that resulted in the average of all controls equal to 10 AU. After plotting normalized values, the differences in the average IgG levels measured for plasma samples from EB patients and healthy control individuals were compared for the different analyzed proteins (isolates/tests). Per patient, the number of S. aureus types identified per number of sampling time points are indicated in parentheses19,24,26. Sa, S. aureus.