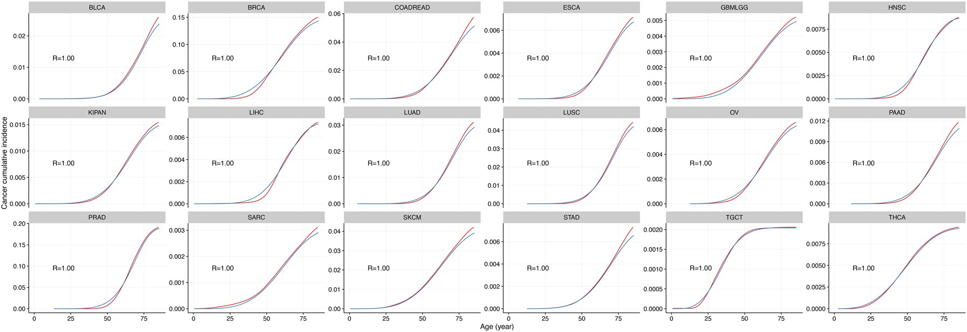
Figure 1

Empirical cumulative cancer incidence data are consistent with the Weibull cumulative probability function in 18 cancers (data for ages up to 85 years old). Empirical (blue line) and Weibull function-fitted (red line) cancer cumulative incidence curves for 18 tissues, goodness of fit is reported in each subplot. The 18 cancers exhibit a good goodness of fit when using R2 between model-reported age incidence and the empirical cumulative cancer incidence are used as metrics.