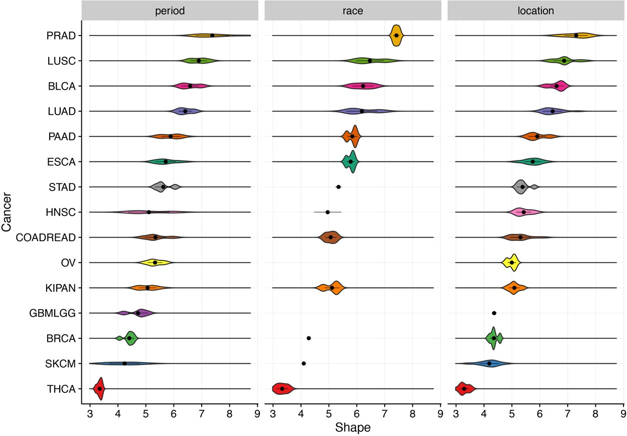
Figure 3

Shape parameters estimated by fitting empirical cancer incidence data using the Weibull function (data with ages for up to 85 years). Cancer patients are grouped by year of diagnosis, race and registry. Cancers are ordered by median values of shape. Shapes are uniform regardless of risk factors, which is consistent with intuitive expectations: race and environmental changes are less likely to alter the number of driver events for cancer onsets.