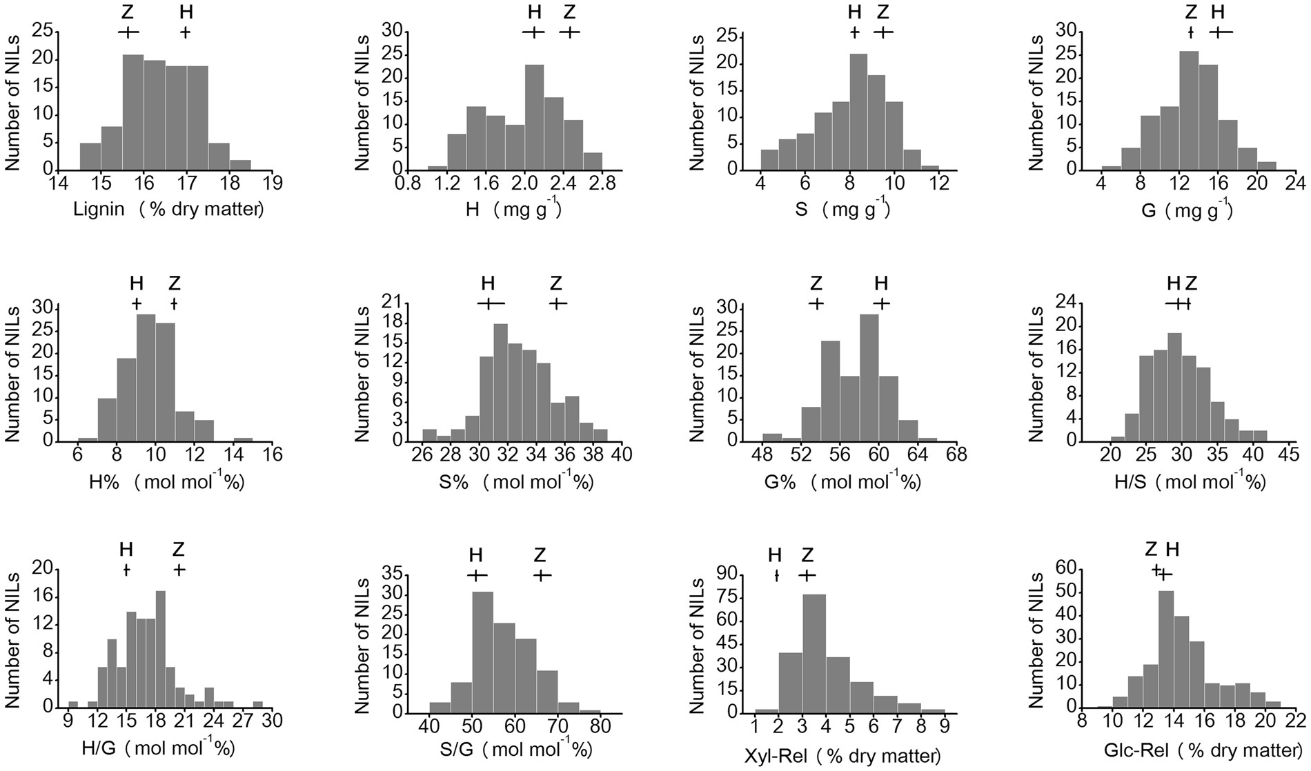
Figure 1
From: Genetic loci simultaneously controlling lignin monomers and biomass digestibility of rice straw

Frequency distributions of lignin-relevant traits and sugar releases in the RIL population. The values of two parents are indicated by “H” (Huahui-3) and “Z” (Zhongguoxiangdao) over the corresponding histogram. The short horizontal and vertical lines indicate the range and average value of two parents.