Figure 4
From: Gate Modulation of the Spin-orbit Interaction in Bilayer Graphene Encapsulated by WS2 films

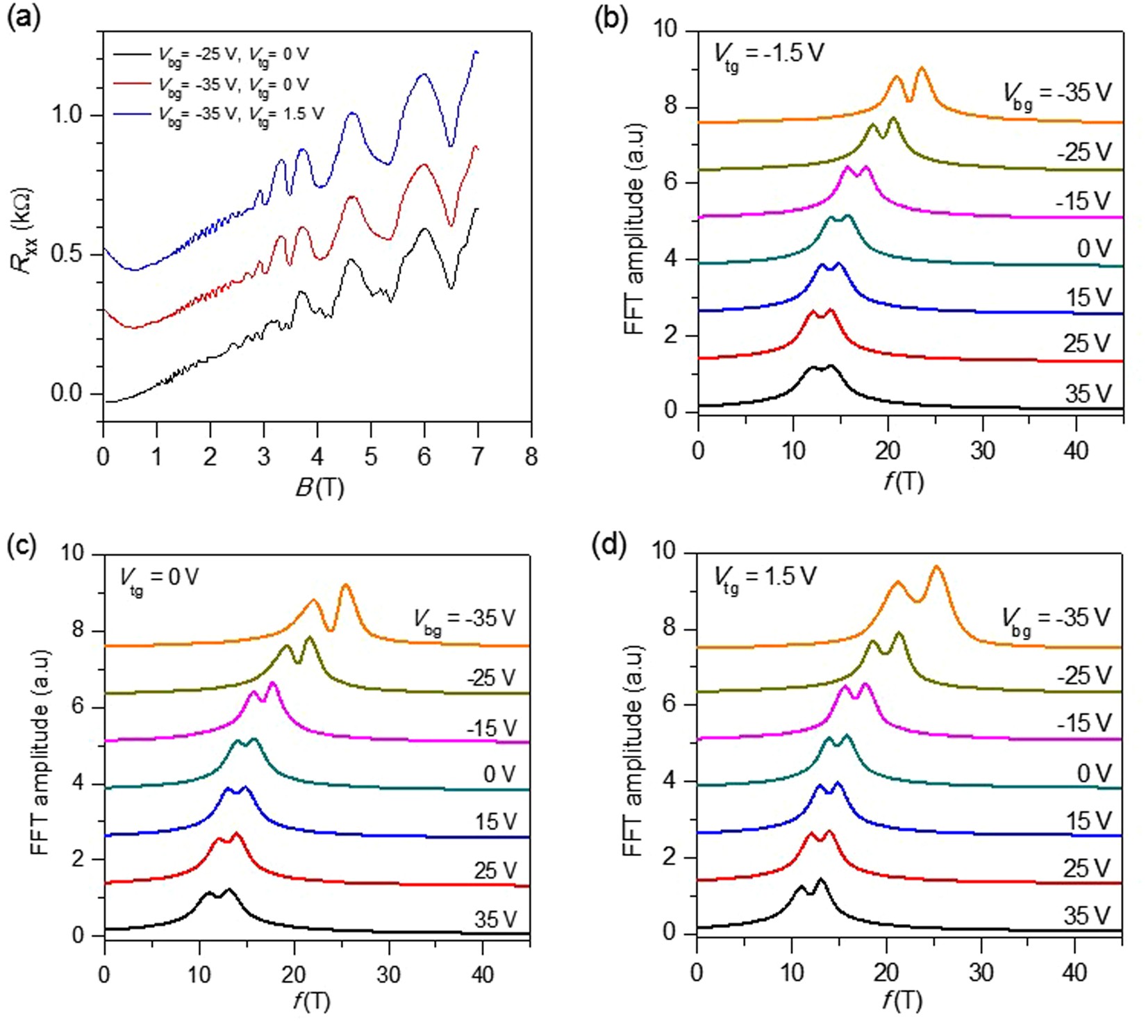
Shubnikov-de Hass (SdH) oscillations with dual gate voltages. (a) Shubnikov-de Hass oscillations with dual gate voltages applied at T = 4.2 K. (b) Fast Fourier transformation (FFT) amplitude at different Vbg with Vtg = −1.5 V. (c) FFT amplitudes at different Vbg with Vtg = 0 V. (d) FFT amplitudes at different Vbg with Vtg = 1.5 V.