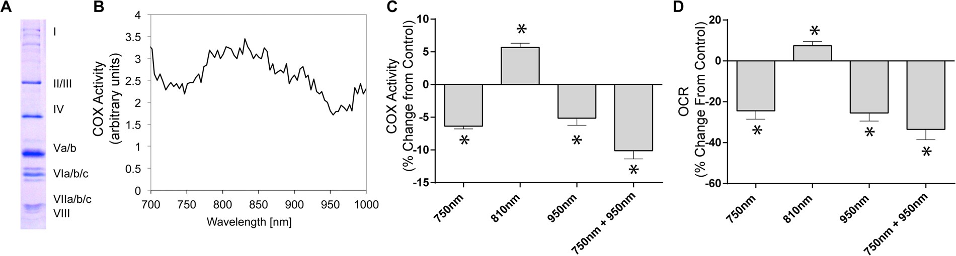
Figure 1

NIR modulates COX activity and mitochondrial oxygen consumption rate. (A) Isolated regulatory-competent bovine COX separated into its subunits on a high-resolution urea/SDS-PAGE Coomassie-stained gel. Subunits are indicated in roman numerals. (B) Representative scan of wavelength-dependent COX activity identifying the 750 nm and 950 nm wavelength rages as inhibitory regions. (C) Effect of NIR emitted by LED diodes confirms that 750 nm and 950 nm NIR inhibit COX in vitro while 810 nm NIR activates the enzyme. Data were obtained over a 3-min interval of irradiation and normalized to non-irradiated samples (n ≥ 4; *p < 0.05). (D) NIR irradiation modulates oxygen consumption rate (OCR) in a wavelength specific manner. 750 nm and 950 nm NIR reduce OCR below the basal respiration rate and 810 nm NIR increase mitochondrial OCR (n ≥ 4; *p < 0.05).