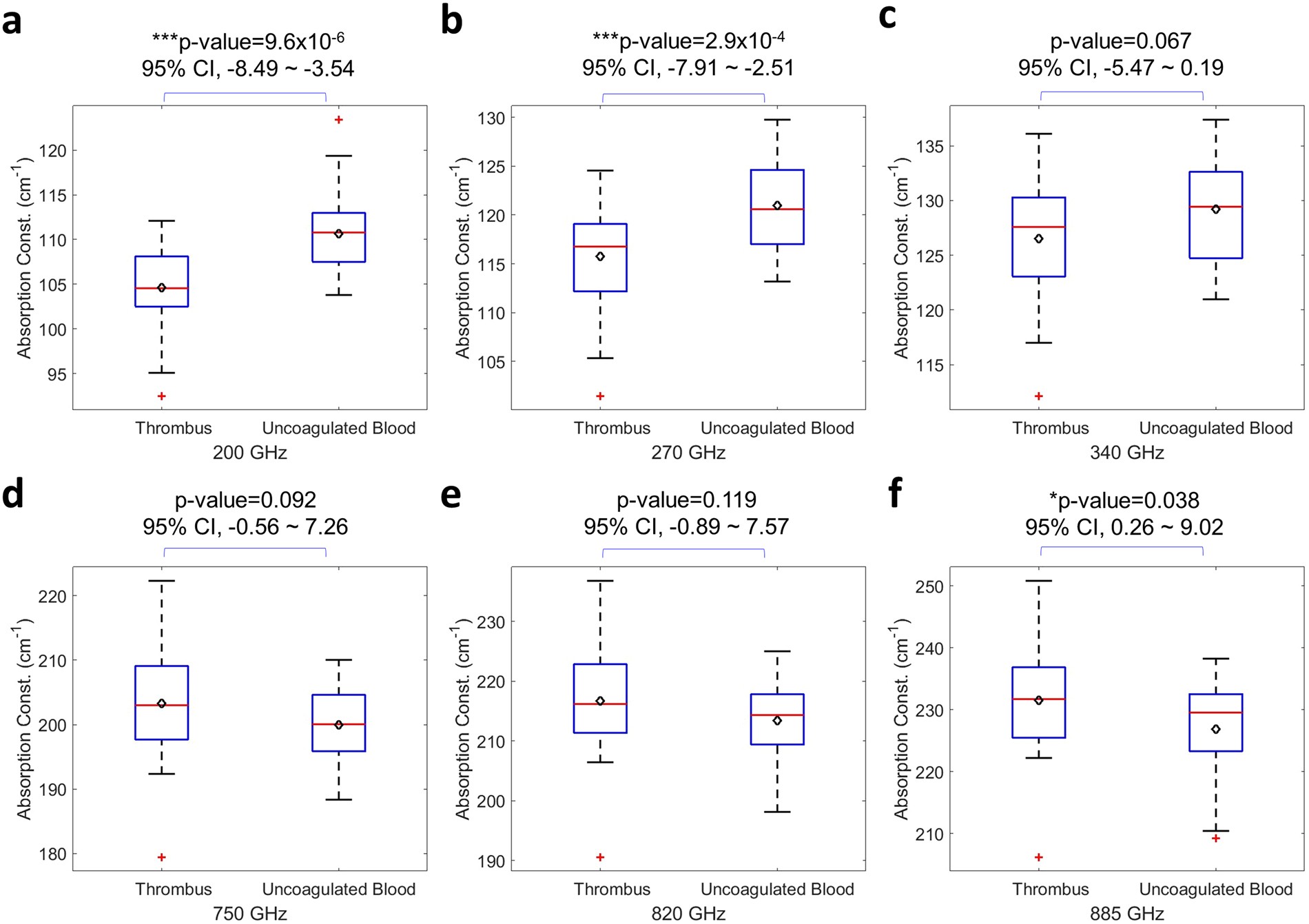
Figure 2

Statistical analysis results comparing the measured THz absorption constants of human thrombus from uncoagulated human blood. Two tailed unpaired T-test was performed between the one-minute-averaged THz absorption constant of thrombus shown in Fig. 1a (n = 29) and the one-minute averaged THz absorption constant of uncoagulated human blood (n = 28). Results on (a) 200 GHz, (b) 270 GHz, (c) 340 GHz, (d) 750 GHz, (e) 820 GHz, and (f) 885 GHz are shown, where the central red line indicates the median, the bottom and top edges of the box indicate the upper and lower quartiles, the whiskers extend to the most extreme data points not considered outliers, the red cross (+) symbol indicate the outliner, and the black diamond indicates the statistical mean values. P-values and confidence intervals (95% CI) for the difference in two groups are also denoted. *0.01 < p < 0.05; **0.001 < p < 0.01; ***p < 0.001.