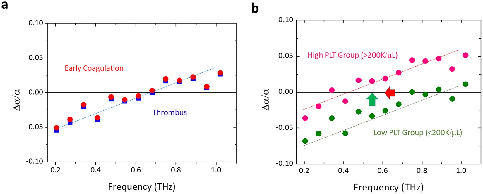
Figure 5

Solvation dynamics affect terahertz absorption after coagulation. (a) Normalized absorption change spectra Δα/αblood for early coagulated blood (red solid circles) and thrombus (blue solid squares), where Δα is defined as the difference between the average absorption constant of early coagulated blood αearly (n = 29) and that of uncoagulated blood αblood (n = 28). After the platelet-activation resulted thrombotic cascade, THz “excess” & “defect” behaviors were observed for the frequency above & below a transparency frequency (680 GHz). Blue dotted line is a guide to our eye for this behavior. (b) Normalized absorption change spectra Δα/αblood for early coagulated blood with high-PLT-count (200 K/μL-300 K/μL; n = 9, red solid circles) and low-PLT-count (100 K/μL-200 K/μL; n = 9, green solid circles) groups. RBC count was limited within a narrow region (4 < RBC count < = 5 M/μL). Red and green dotted lines are guides to our eye to illustrate different transparency frequencies for these two PLT groups. Higher PLT concentration resulted in red shift (red arrow) of the transparency frequency and increased (green arrow) THz absorption.