Figure 3
From: Large anisotropy of ferroelectric and pyroelectric properties in heteroepitaxial oxide layers

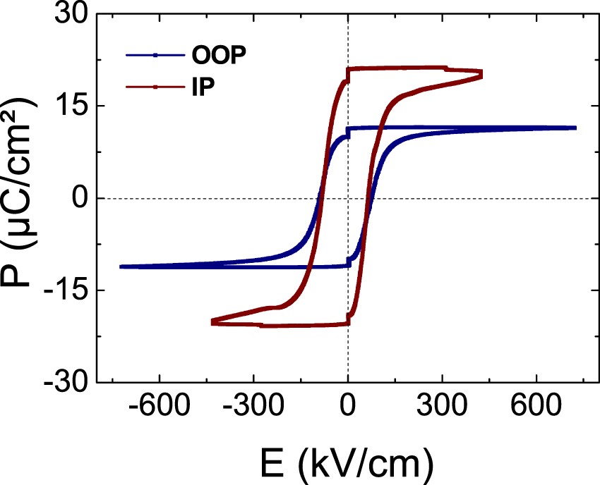
Ferroelectric hysteresis loops (Polarization versus electric field by PUND method) of PZT epitaxial layers measured along the out-of-plane (OOP) and in-plane (IP) <100> direction at room temperature.