Figure 2
From: The early effects of external and internal strategies on working memory updating training

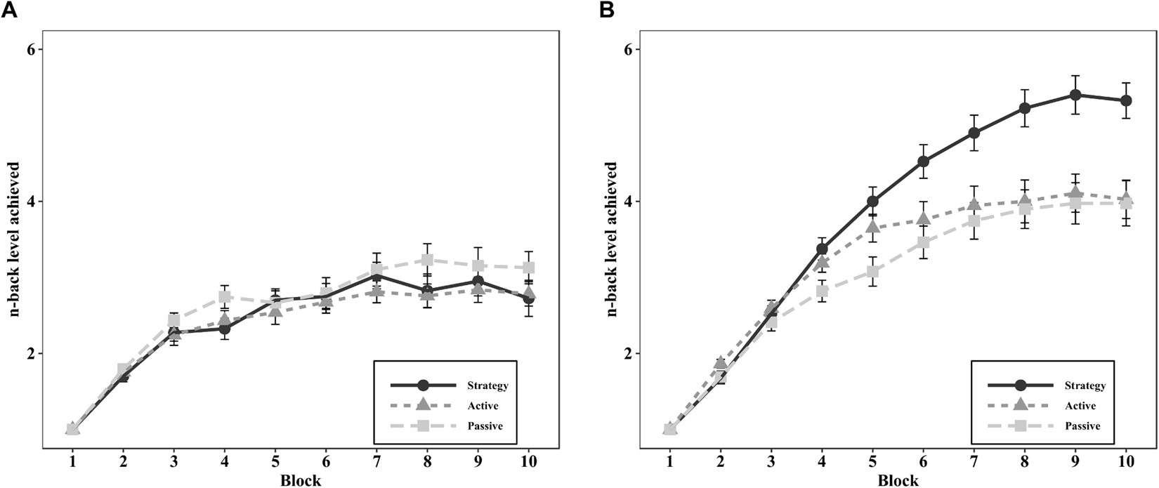
Average performance across the 10 blocks of the trained n-back task in the three groups at (A) pretest and (B) posttest. The Y-axis represents the n-back level reached. Error bars represent standard error of means.