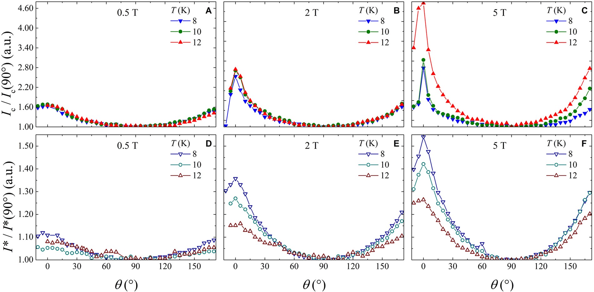
Figure 2

The critical current (panels (A–C)) and the instability current (panels (D–F)) as a function of the angle for different field and temperature values reported in the text. Both are normalized to the values corresponding to the field orientation perpendicular to the film surface.