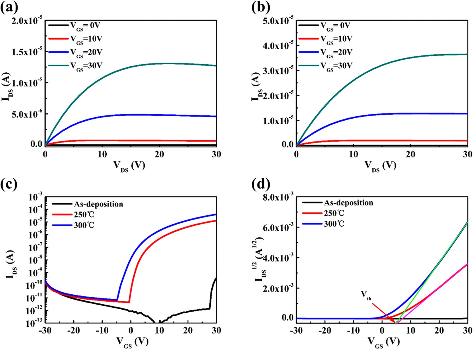
Figure 2

Output characteristic curves (IDS − VDS) of the a-STO TFTs annealed at (a) 250 °C and (b) 300 °C. (c) Transfer characteristic curves (IDS − VGS) of a-STO TFTs with different annealing temperatures. (d) Dependence of the threshold voltage on the annealing temperature of the a-STO TFTs.