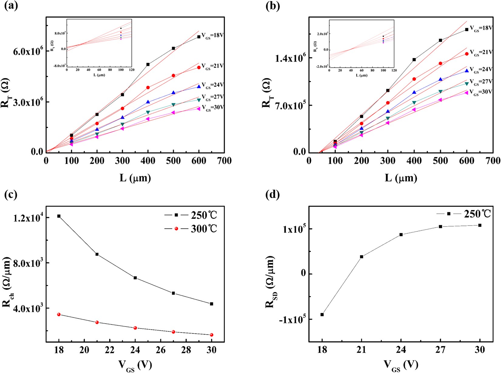
Figure 4

Plot of total resistance (Rtot) versus channel length (L) for a-STO TFTs annealed at different temperatures: (a) 250 °C and (b) 300 °C. Plot of Rch (c) and RSD (d) at source/drain contacts extracted from (a,b) as a function of gate voltage (VGS), respectively.