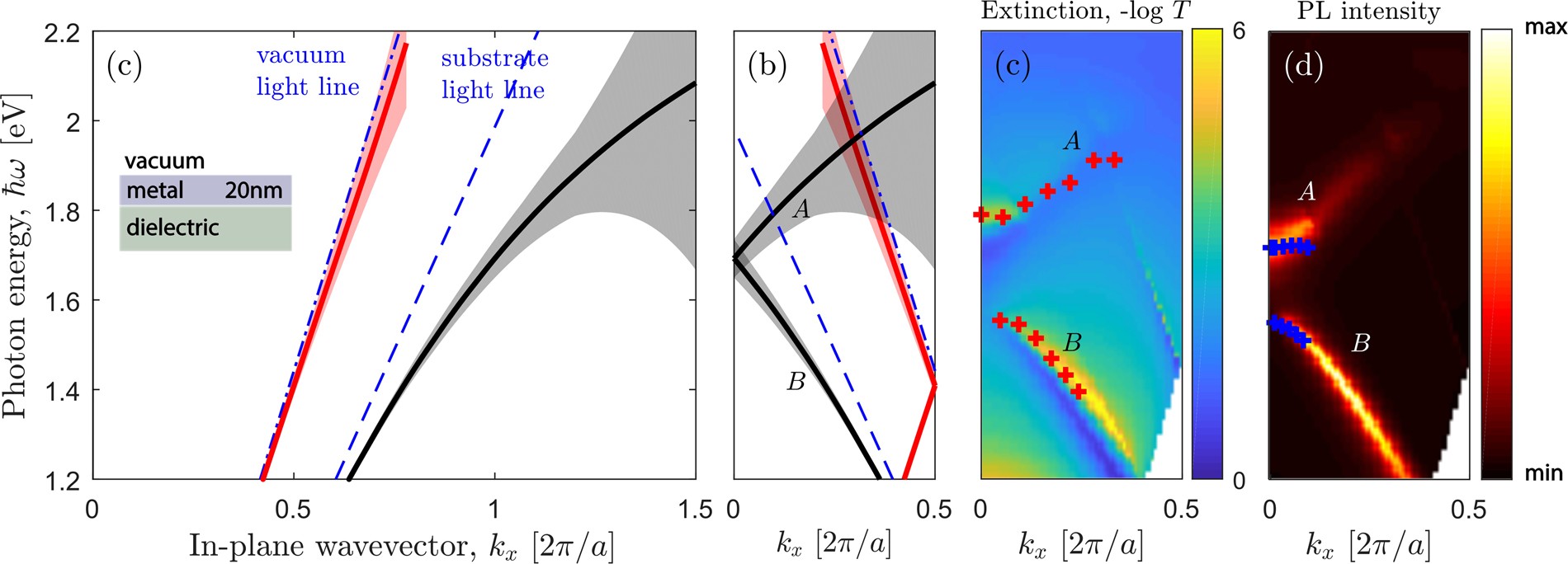
Figure 2

Dispersion relations of optical resonances. (a) Dispersion relation of SPPs (solid lines) of a uniform 20-nm thick gold plate on the dielectric substrate shown in the inset. Dashed lines correspond to vacuum and dielectric light lines. The width of shaded stripes denotes the imaginary part of eigenenergy at corresponding in-plane wavevectors. (b) The dispersions folded in the first Brillouin zone. (c) Extinction and (d) PL intensity as a two-dimensional function of photon energy and in-plane wavevector. Red and blue crosses represent the peaks in the experimental extinction and PL spectra measured for the 30-nm air slit sample respectively. The coloured scheme is explained on the color bar.