Figure 4
From: Enabling Controlling Complex Networks with Local Topological Information

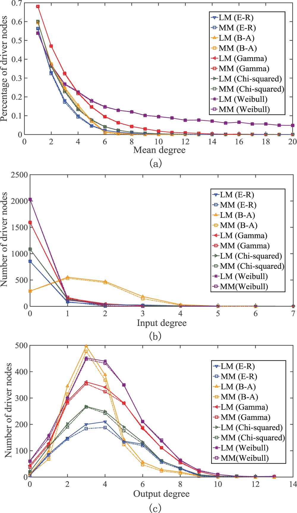
LM and MM in synthetic networks: (a) Number of driver nodes with respect to the mean degree μ for ER, B-A and other networks for LM and MM (N = 10000). (b) Input nodal degree distributions of the driver nodes found by LM and MM, respectively (N = 10000 and μ = 6). (c) Output degree nodal degree distributions of the driver nodes found by LM and MM, respectively.