Figure 3

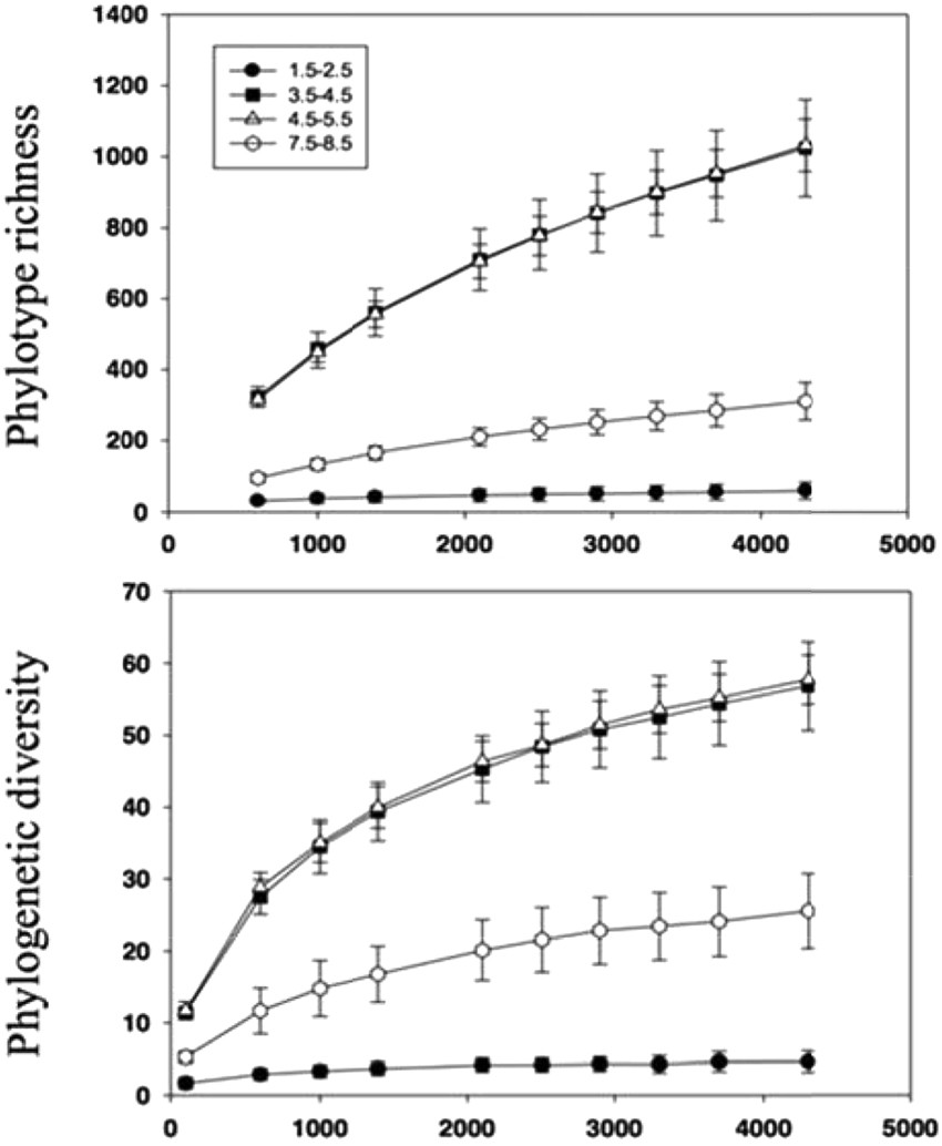
The effect of salt content on bacterial operational taxonomic unit phylotype richness and phylogenetic diversity. Diversity indices were calculated from random selections of 4500 sequences per soil sample (mean ± SE; n = 3).

The effect of salt content on bacterial operational taxonomic unit phylotype richness and phylogenetic diversity. Diversity indices were calculated from random selections of 4500 sequences per soil sample (mean ± SE; n = 3).