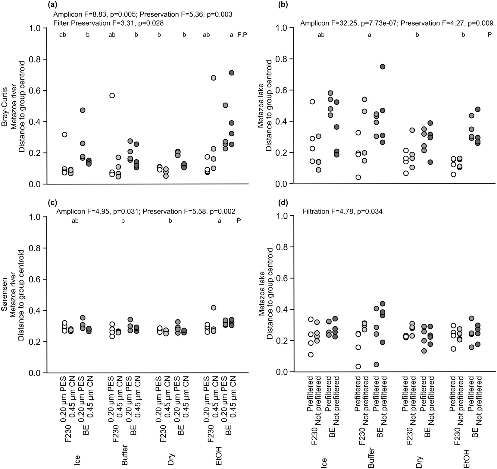
Figure 3
From: Environmental DNA filtration techniques affect recovered biodiversity

Distance to group centroid in principal coordinate space based on Bray-Curtis similarity (a,b) and Sørensen dissimilarity (c,d) calculated for Metazoa OTUs collected from River Atna (a,c) and from Lake Jonsvatn(b,d). The filters were preserved on ice (Ice), in Qiagen ATL lysis buffer (Buffer), on silica gel (Dry) or in 99% ethanol (EtOH). At the river site, 0.20-µm polyethersulfone (PES) or 0.45-µm mixed cellulose ester (CN) filters were used. At the lake site, the samples were either filtered directly onto 0.45-µm CN filters or pre-filtered through 12-µm CN filters before eDNA capture onto 0.45-µm CN filters. Three-way ANOVA followed by Tukey’s HSD was used to test differences among the methods, and the F-statistic value (F) and significance (p) are given for significantly different treatments. The small letters denote significantly different groupings of treatments based on the filter and preservation interaction (a) or based on preservation (b and c).