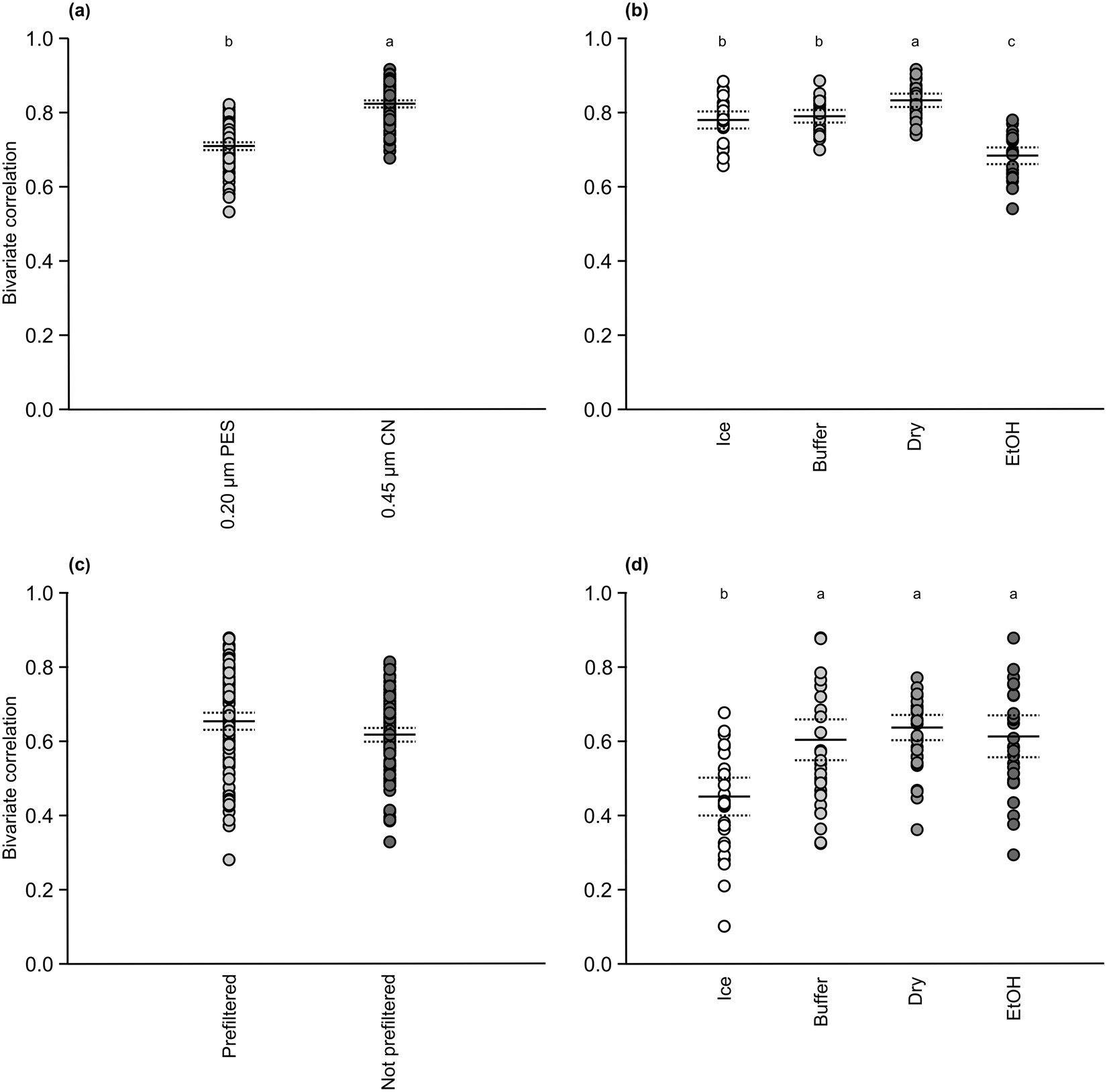
Figure 4
From: Environmental DNA filtration techniques affect recovered biodiversity

Similarity of metazoan community composition in pairs of samples using the bivariate Poisson-lognormal OTU abundance distribution in River Atna (a,b) and in Lake Jonsvatn (c,d). The filters were preserved on ice (Ice), in Qiagen ATL lysis buffer (Buffer), on silica gel (Dry) or in 99% ethanol (EtOH). At the river site, 0.20-µm polyethersulfone (PES) or 0.45-µm mixed cellulose ester (CN) filters were used. At the lake site, the samples were either filtered directly onto 0.45-µm CN filters or pre-filtered through 12-µm CN filters before eDNA capture onto 0.45-µm CN filters. The solid line gives the mean similarity and the dashed lines give the 95% confidence intervals. The small letters denote significantly different groupings of treatments.