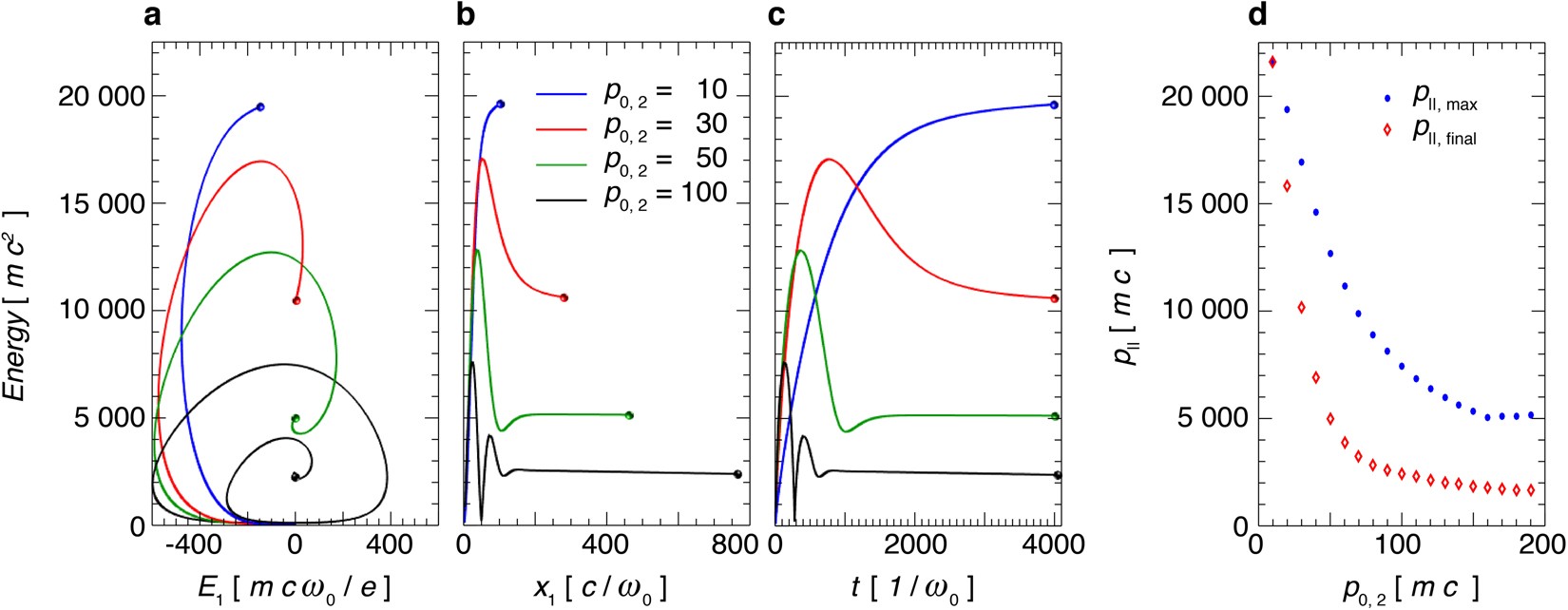
Figure 2
From: Multi-GeV electron-positron beam generation from laser-electron scattering

Positron trajectories. Test particle energy versus: (a) laser electric field, (b) transverse coordinate parallel to the laser electric field, (c) time. (d) Positron momentum in the laser propagation direction versus initial momentum p0,2 (perpendicular to both, the laser electric field and propagation direaction). Overall maximum p|| and asymptotic value at \(t=19200\,{\omega }_{0}^{-1}\) are shown. Panels (a)–(c) show trajectories from t = 0 up to \(t=4000\,{\omega }_{0}^{-1}\). All particles are born with initial coordinates (x1, x2, x3) = (0, 0, 0) which here correspond to the center of the focal plane.