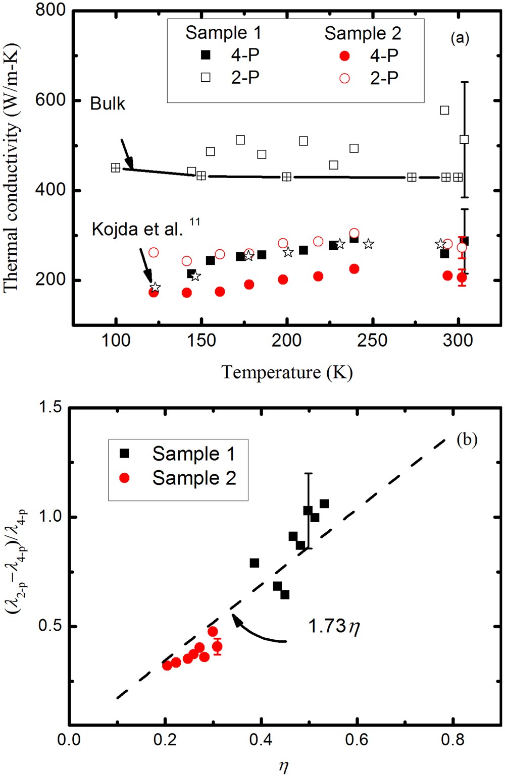
Figure 4

(a) Extracted thermal conductivity as a function of temperature. (b) Difference of thermal conductivities obtained from the 2-P and 4-P configurations with respect to the ratio of the electrical contact resistance to the total electrical resistance, the dashed line is the prediction from the accumulative error function.