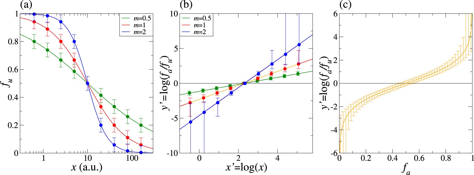
Figure 2
From: CISNE: An accurate description of dose-effect and synergism in combination therapies

(a) Dose-effect relationships in terms of a median effect equation with D = 10 and different values of m. Dose values x and D are given in arbitrary units. Theoretical data points with a fixed standard deviation σ(f a ) = 0.05 are also included. (b) Linear fitting variables x′ and y′ plotted using the same data of panel (a). (c) Dependence of y′ and of its standard deviation σ(y′) with the value of f a for a fixed value of σ(f a ) = 0.05.