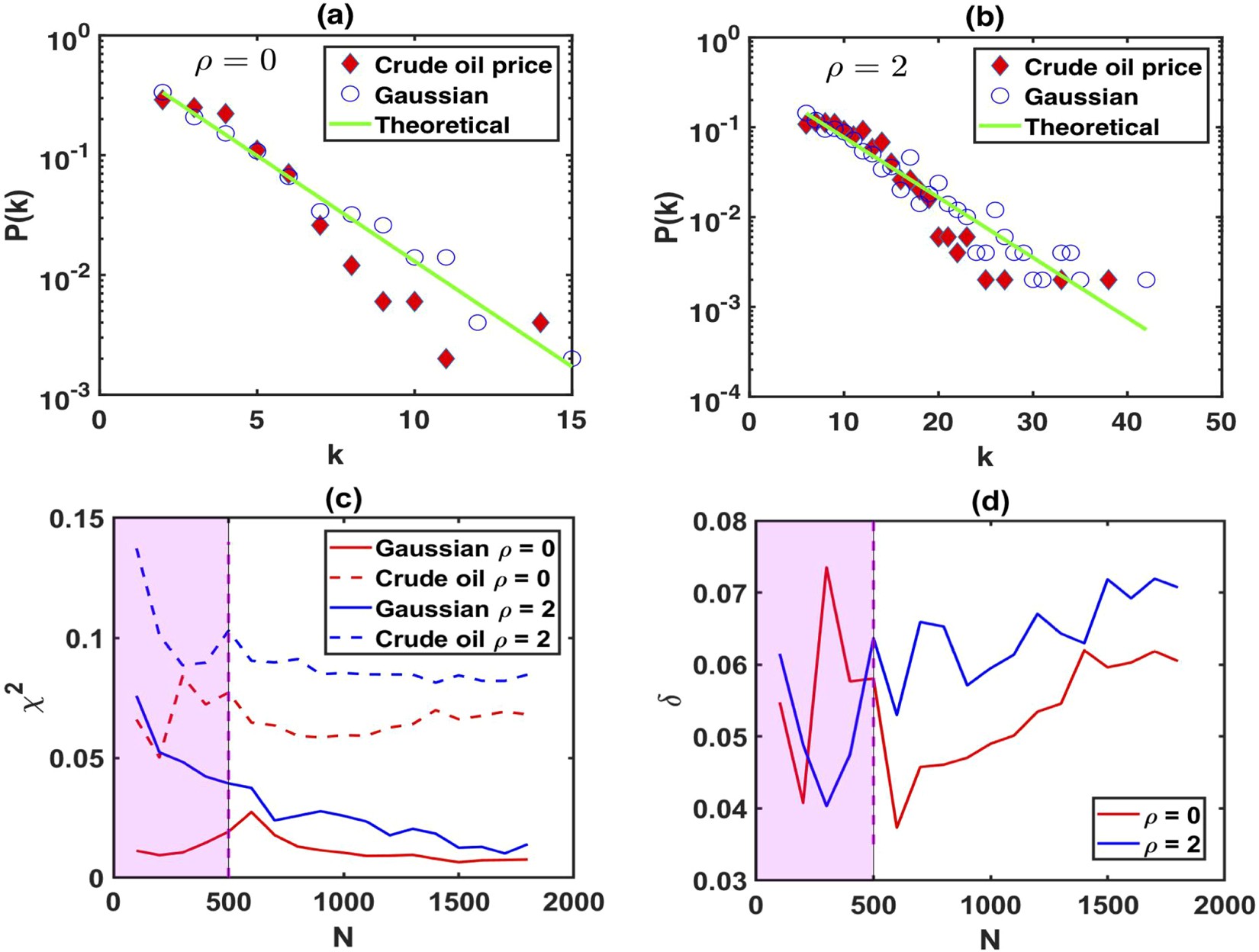
Figure 7

Semilog plot of the degree distributions for (a) HVG associated to crude oil price and Gaussian random series and (b) for the LPHVG with ρ = 1. (c) Plot of the numerical values of χ2 of LPHVGs with ρ = 0 and ρ = 2 associated to crude oil price and Gaussian random series. (d) Plot for numerical values of δ of LPHVGs with ρ = 0 ρ = 2 for different data sizes.