Figure 2

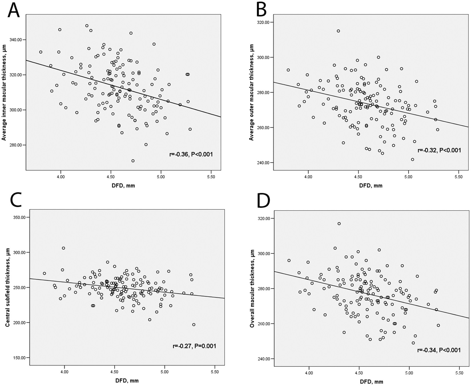
Scatter plots of DFD versus average inner macular thickness (A), average outer macular thickness (B), central subfield thickness (C), and overall macular thickness (D).

Scatter plots of DFD versus average inner macular thickness (A), average outer macular thickness (B), central subfield thickness (C), and overall macular thickness (D).