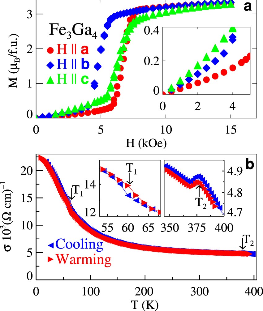
Figure 3

Magnetization Anisotropy and Electrical Conductivity. (a) Magnetization, M, vs. magnetic field, H, along the 3 principle crystal axes, a, b, and c, within the incommensurate spin density wave phase at 100 K. (b) Temperature, T, dependence of the electrical conductivity conductivity, σ, measured with current along the c-axis. Insets: changes to σ at the magnetic phase transitions. Transition temperatures T1 and T2 are indicated.