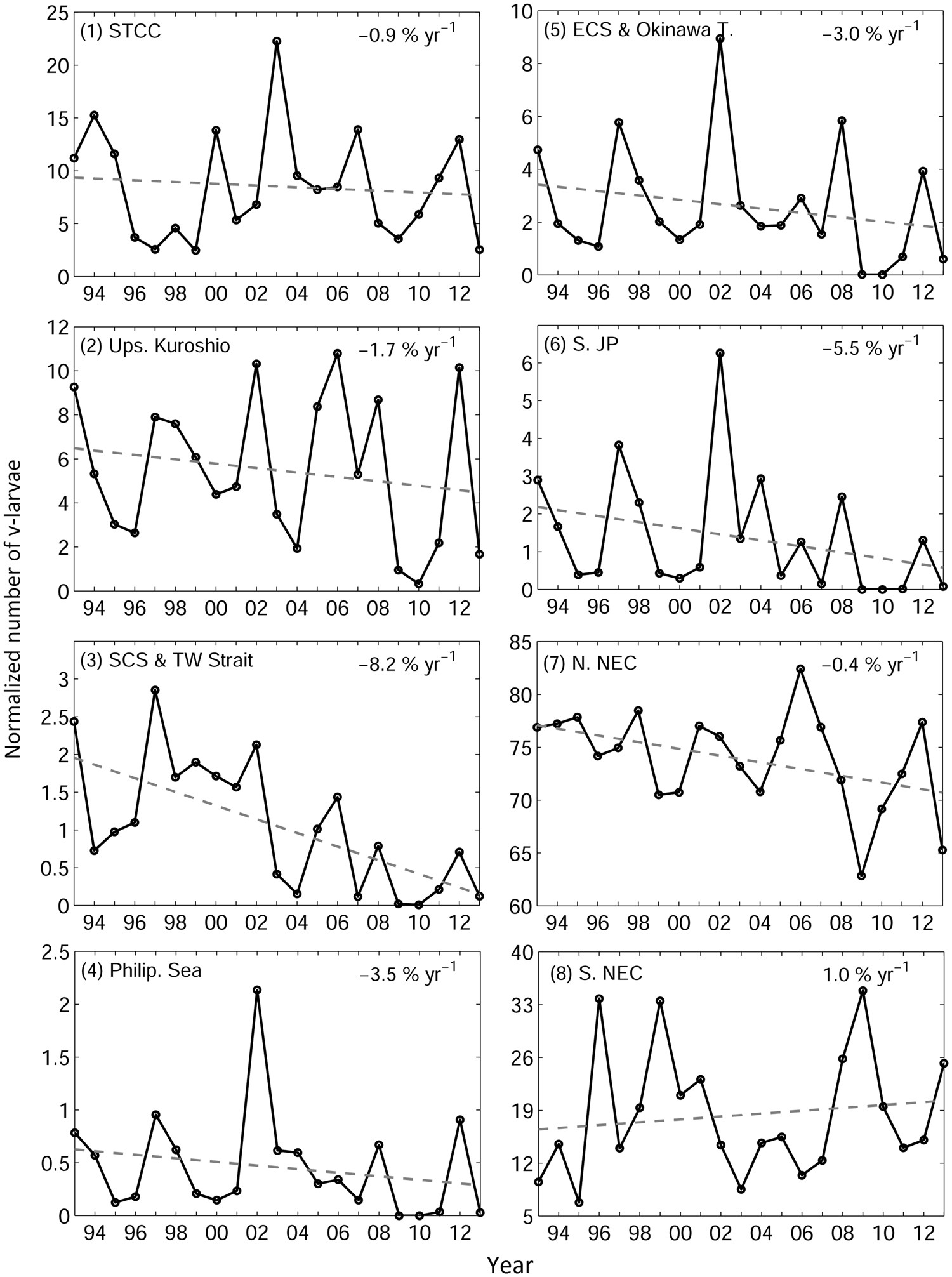
Figure 4
From: Potential impact of ocean circulation on the declining Japanese eel catches

Visitation frequency v-larvae in each sub-region. Dashed lines show the linear trends after being released in the spawning area. 1 normalized unit is 20,000 v-larvae. Percentage numbers indicate the overall rate of change per year. Figure is created using MATLAB R2011b (http://www.mathworks.com/).