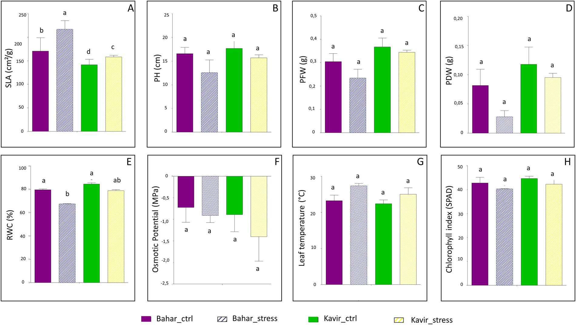
Figure 1
From: Metabolomics and proteomics reveal drought-stress responses of leaf tissues from spring-wheat

Mean comparison of morphological and physiological traits. Data are means of three replicates ± SD. The different letters indicate significant difference (p ≤ 0.05) by Duncan’s test. SLA, specific leaf area (A); PH, plant height (B); PFW, plant fresh weight (C); PDW, plant dry weight (D); RWC, relative water content (E); Osmotic potential (F); Leaf temperature (G); Chlorophyll index (H). Ctr, control.