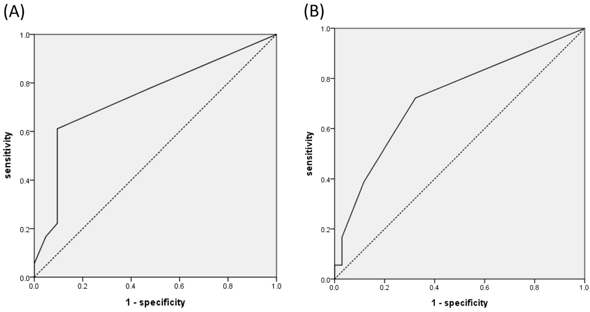
Figure 5

(A) Ventilator dependence risk score in sepsis and septic shock patients in the cancer group revealed AUC = 0.745. (B) Ventilator dependence risk score in sepsis and septic shock patients in the chronic kidney disease group revealed AUC = 0.723.